Предмет: Математика,
автор: Maximgv3
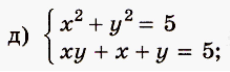
Решить систему уравнений
Приложения:
Ответы
Автор ответа:
0
обозначим х+у=а
Тогда ху=5-а
а*а=5+2*(5-а)
а*а+2а+1=16
а+1=4 или а+1=-4
а=3 или а=-5
если х+у=3
то ху=2
(х-у)*(х-у)=1
х-у=1 или х-у=-1 х=2 или х=1 у=1 или у=2
если х+у=-5 то ху=10
(х-у)*(х-у)=-15, что невозможно.
Ответ: х=2 у=1
или х=1 у=2
Похожие вопросы
Предмет: Обществознание,
автор: Koteika02
Предмет: Алгебра,
автор: alieaali528
Предмет: Математика,
автор: 2kpqb5f8d6
Предмет: Биология,
автор: Котик9999
Предмет: Алгебра,
автор: ayjg