Предмет: Алгебра,
автор: LASHA2222
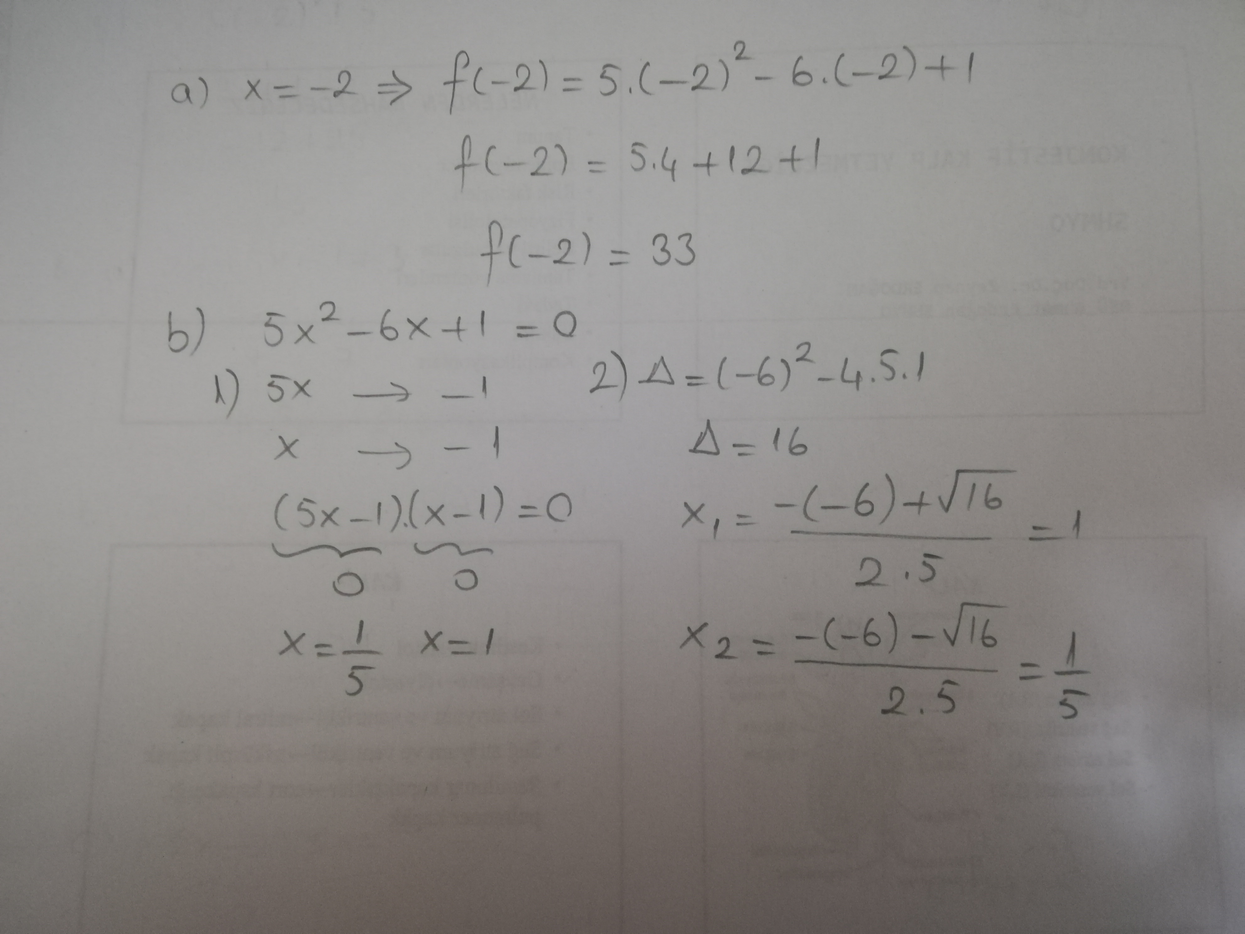
Функция задана формулой f(x)=5x^2-6x+1; а)f(-2) б)значение x при котором значение функции равно 0. Заранее спасибо)
leonid69477:
"Цели политических сил в послевоенном мире". Правые: ................
помогите пж
Ответы
Автор ответа:
1
I hope this helps you
Приложения:
Похожие вопросы
Предмет: Математика,
автор: elenaboltunova2010
Предмет: Литература,
автор: sanekrussak1992
Предмет: Литература,
автор: arzicknouneim
Предмет: Геометрия,
автор: Ar4Ee