Предмет: Алгебра,
автор: pms18

нужна помощь
pms18:
помогите
Ответы
Автор ответа:
1
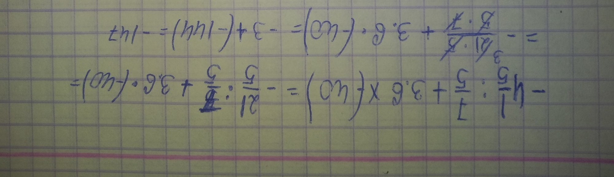
вот,-147 получается. не знаю, как ещё больше расписать
Приложения:
а можеие еще больше решений записать?
*можете
подробно расписать?
да
все
спасибо большое
Похожие вопросы
Предмет: Қазақ тiлi,
автор: dianochka0987654
Предмет: Математика,
автор: aiz7136
Предмет: Физика,
автор: nrivet66693
Предмет: Физика,
автор: repalovayulya2