Предмет: Математика,
автор: vladbesfamilniy
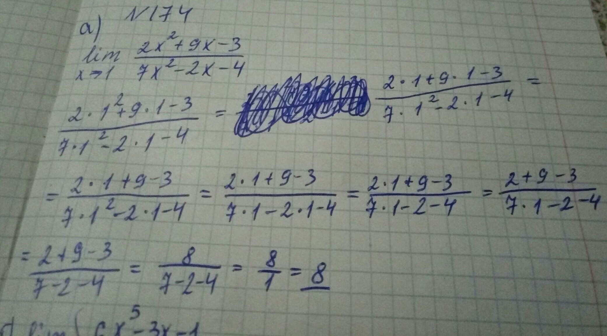
помогите с номерами 174 и 188
Приложения:
Ответы
Автор ответа:
0
решил только номер 174
Приложения:
vladbesfamilniy:
Все есть кроме, е)
Похожие вопросы
Предмет: Физика,
автор: DMC2003
Предмет: Другие предметы,
автор: Ventikrash11
Предмет: Математика,
автор: ruslanasur82
Предмет: Математика,
автор: Kris21love
Предмет: Математика,
автор: ivanaristv33