Предмет: Математика,
автор: nastyahristoforova
56 задание весь решите пропорцию
Приложения:
Ответы
Автор ответа:
7
решение на фото)
прости, пожалуйста, у меня приложение лагало
удачи;)
прости, пожалуйста, у меня приложение лагало
удачи;)
Приложения:
nastyahristoforova:
Что решение на фотке . Там нету не чего.
я не знаю что это, сейчас перефотаю
все
Автор ответа:
5
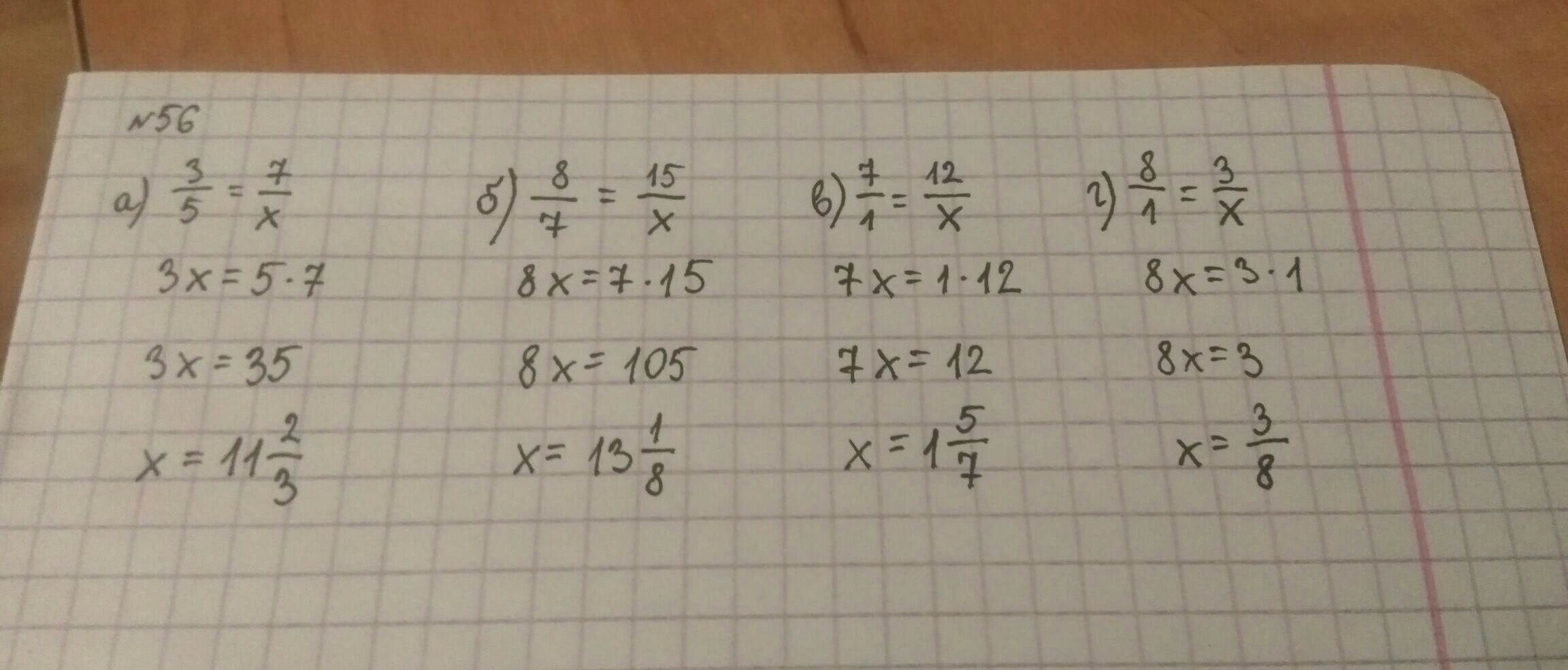
а)3/5=7/x б)8/7=15/x в)7/1=12/x г)8/1=3/x
3x=35 8x=105 7x=12 8x=3
x=11 2/3 x=13 1/8 x=1 5/7 x=3/8
Похожие вопросы
Предмет: Литература,
автор: akimovanastya483
Предмет: Русский язык,
автор: matryonib
Предмет: Литература,
автор: Аноним
Предмет: Физика,
автор: riana3
Предмет: Химия,
автор: leonidprodvin