Предмет: Математика,
автор: murkovs
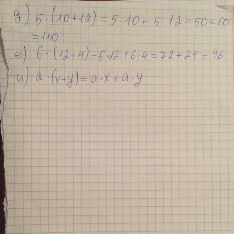
Решите пожалуйста отдам все баллы,если что решать то что подчеркнуто
Приложения:
Ответы
Автор ответа:
0
Ответ. Ответ. Ответ. Ответ
Приложения:
Похожие вопросы
Предмет: Математика,
автор: danchickban
Предмет: Геометрия,
автор: kislinkapubg59
Предмет: Алгебра,
автор: 784512gov777
Предмет: Литература,
автор: анютка200525