Предмет: Алгебра,
автор: Аноним
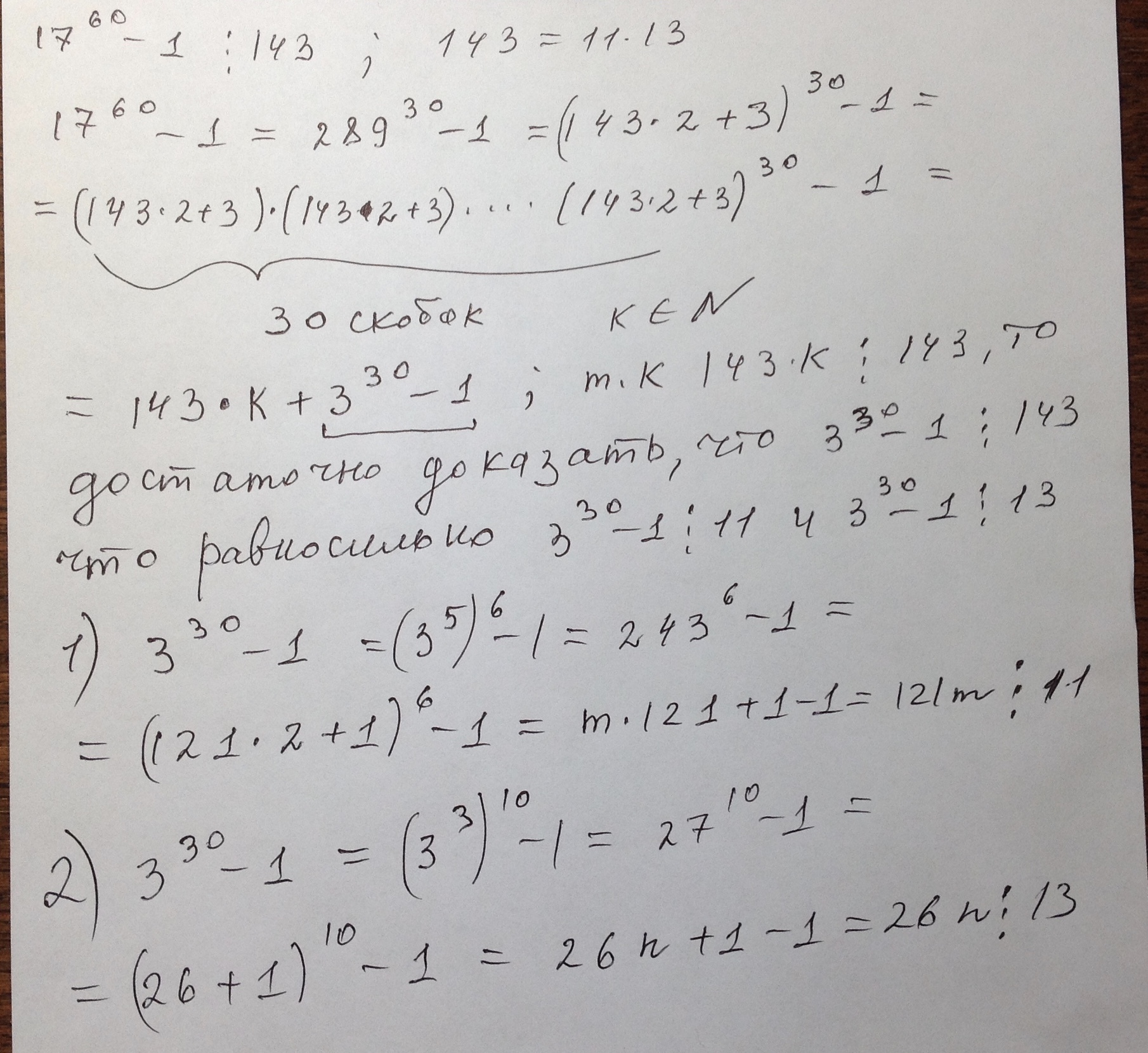
Докажите,что (17^60-1) делится на 143
Ответы
Автор ответа:
3
..............................................................................................
Приложения:
Похожие вопросы
Предмет: Литература,
автор: sofianikiforova98
Предмет: Английский язык,
автор: dinazhynusbekova
Предмет: Математика,
автор: sonasvareva
Предмет: Математика,
автор: sitnikova610