Предмет: Алгебра,
автор: Klayerix
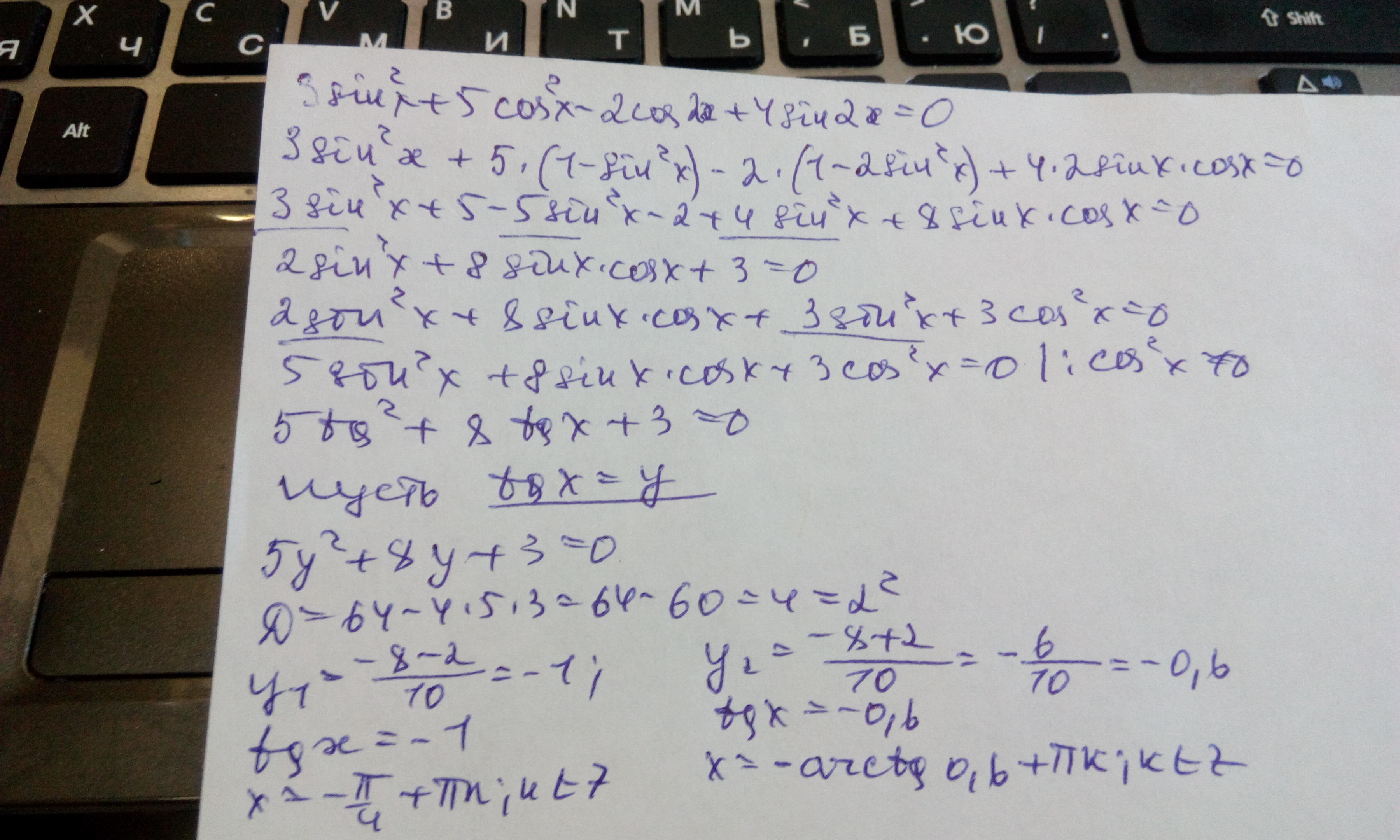
3sin^2(x)+5cos^2(x)-2cos(2x)+4sin2x=0
Ответы
Автор ответа:
2
Решение дано на фото.
Приложения:
Похожие вопросы
Предмет: Математика,
автор: abdullayevnizami73
Предмет: Математика,
автор: Gvfkc
Предмет: Русский язык,
автор: aybenizx217
Предмет: Математика,
автор: Nik1234561
Предмет: Биология,
автор: nika4121