Предмет: Алгебра, автор: 888hhgguu888

Решите пожалуйста срочно

Приложения:

Ответы

Автор ответа: spasibo3pajbrh
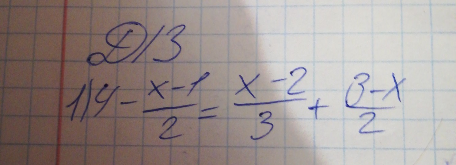
2

 \frac{8 - x + 1}{2}  =  \frac{2x - 4 + 9 - 3x}{6}  \\ 3(9 - x) = (5 - x) \\ 27 - 3x = 5 - x \\ 2x = 22 \\ x = 11
Похожие вопросы
Предмет: Английский язык, автор: Аноним
Предмет: Математика, автор: ramazanmuradov095
Предмет: Физика, автор: shelkovnikovauliana0
Предмет: Математика, автор: Murad2006