Предмет: Алгебра,
автор: nikitamet7
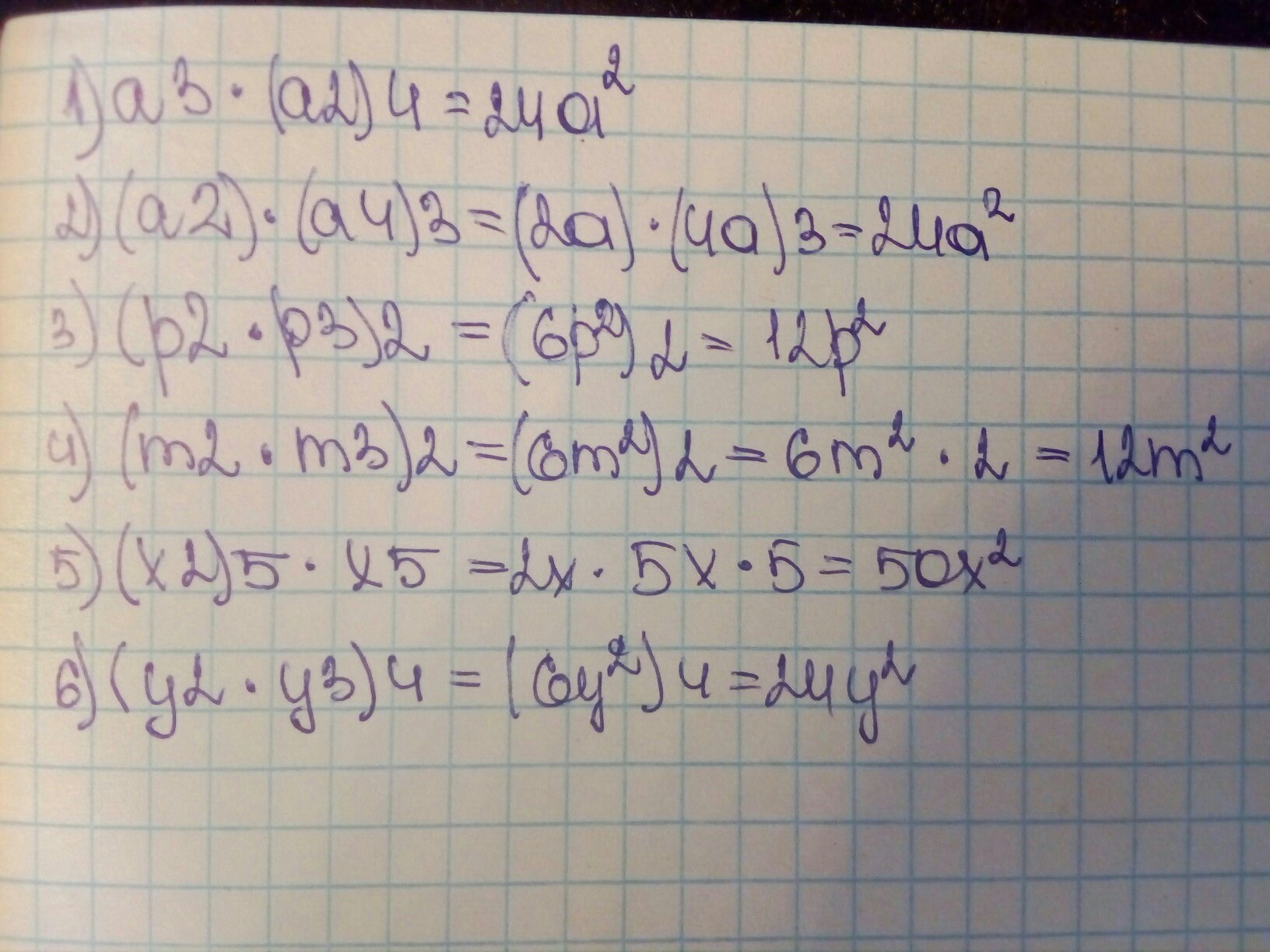
Упростите выражение
1) a3 *(a2) 4
2) (a2)*(a4) 3
3) (p2 *p3) 2
4) (m2 *m3) 2
5) (x2)5 * x5
6) (y2 * y3) 4
Ответы
Автор ответа:
2
)))))))))))))))))))))
Приложения:
Похожие вопросы
Предмет: Химия,
автор: Norax818
Предмет: Литература,
автор: ushanka69
Предмет: Математика,
автор: mironenkoanna373
Предмет: Химия,
автор: logacheva1967
Предмет: Литература,
автор: sozvezdienn