Предмет: Алгебра,
автор: anechkaanyutca
срочно.пожалуйста.помогите.даю 50 баллов
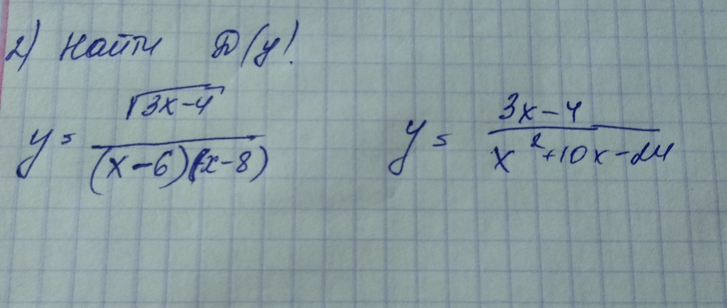
найти область определения
Приложения:
Ответы
Автор ответа:
2
1) т.к. на ноль делить нельзя, то (х-6)(х-8) ≠ 0;
x1≠6; x2≠8;
, т.к. квадратный корень можно взять из не отрицательного числа.
3x-4≥0
;
x ∈ [;6) ∪ (6;8) ∪ (8;∞)
2)т.к. на ноль делить нельзя, то x^2+10x-24 ≠ 0;
решаем квадратное уравнение:
x1,2= -12;2
x ∈ [-∞;-12) ∪ (-12;2) ∪ (2;∞)
Похожие вопросы
Предмет: История,
автор: zn876249
Предмет: Математика,
автор: zuha29843
Предмет: Физика,
автор: dashkkbond
Предмет: Геометрия,
автор: jenyamashkin
Предмет: Математика,
автор: sasha76193