Предмет: Математика, автор: A1IEN

Помогите решить!
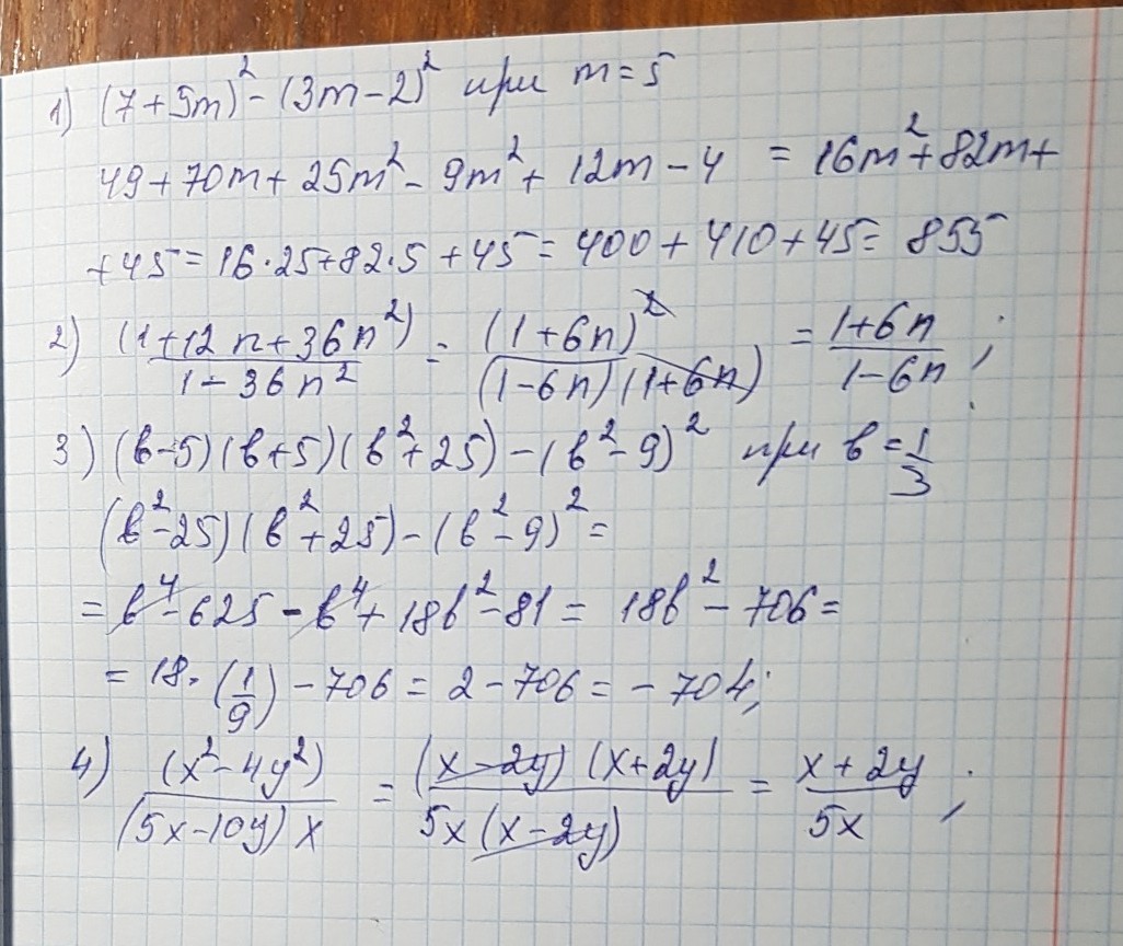
1. (7+5m)^2-(3m-2)^2 при m=5
2.Упростить (1+12n+36n^2)/ 1-36n^2
3.(b-5)(b+5)(b^2+25)-(b^2-9)^2 при b=1/3
4.(x^2-4y^2)/ (5x-10y)/x

Ответы

Автор ответа: 1233090
1
решение задания смотри на фотографии
Приложения:

A1IEN: Спасибо огромное)
1233090: пожалуйста
svetaaa77: Добрый день , помогите пожалуйста
svetaaa77: 1233090
svetaaa77: Нужно решить только номер 6 и 7 , 8 уже решили
svetaaa77: Если сможете
svetaaa77: хотя нет всё решили уже, осталось только номер 7)
Похожие вопросы
Предмет: Информатика, автор: halpaevsaid54
Предмет: География, автор: osinska27112009
Предмет: Математика, автор: Snappy11