Предмет: Математика,
автор: sad666666
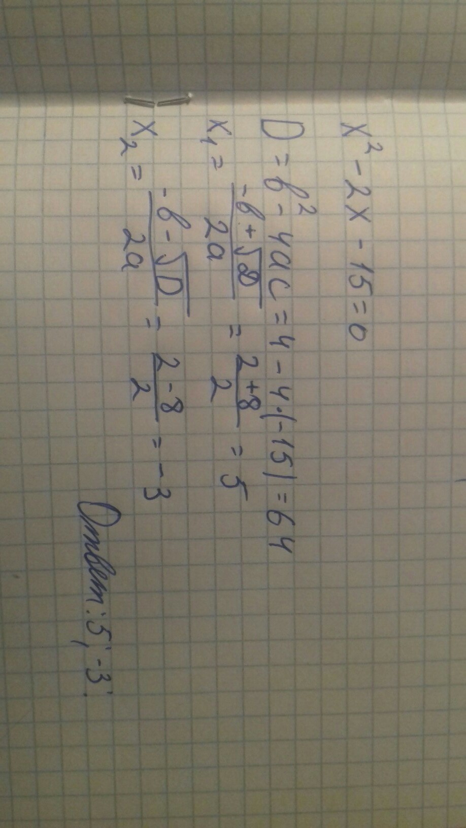
X^2 -2x-15=0 помогите пожалуйста
Ответы
Автор ответа:
1
Д-это дискреминант
По нему находим иксы и все
По нему находим иксы и все
Приложения:
Похожие вопросы
Предмет: Математика,
автор: sonyachernicova2010
Предмет: Математика,
автор: kuanyshormanbekov31
Предмет: Английский язык,
автор: nikolaydns2018
Предмет: Математика,
автор: darasalionova
Предмет: Алгебра,
автор: sagingalia1