Предмет: Математика,
автор: bmisn
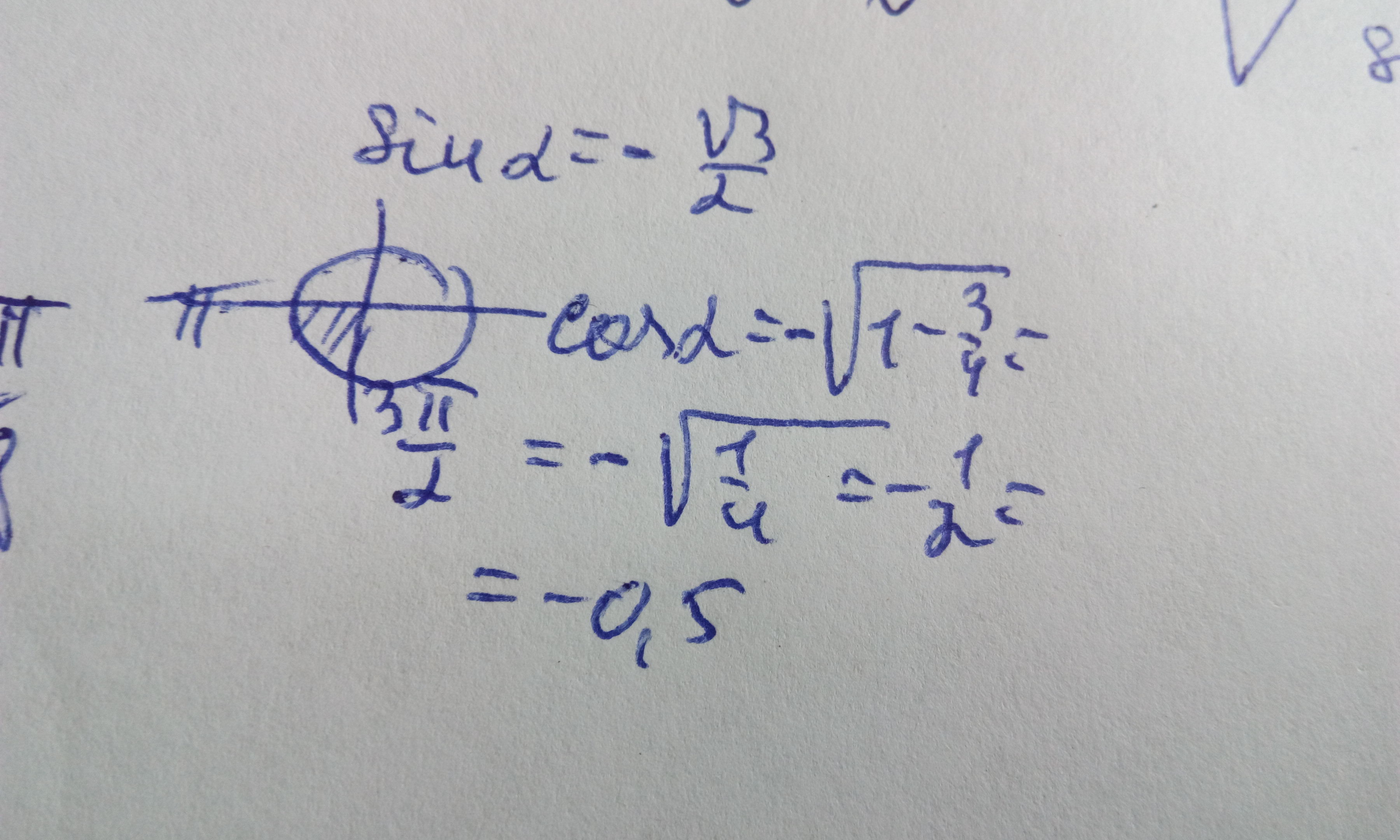
Найдите cosA,если sinA = -корень из 3/2 и промежуток ,A принадлежит (Pi; 3Pi/2)
Ответы
Автор ответа:
2
Решение дано на фото.
Приложения:
bmisn:
А почему там,где cosA= .....,перед корнем знак минус?
Уже поняла,спасибо)
Похожие вопросы
Предмет: Русский язык,
автор: Rftgktpu65
Предмет: Математика,
автор: nikerinaelena0
Предмет: Математика,
автор: sofacuvakova8
Предмет: Математика,
автор: marinettandadrian
Предмет: География,
автор: миша57667