Предмет: Алгебра,
автор: figyshkin2
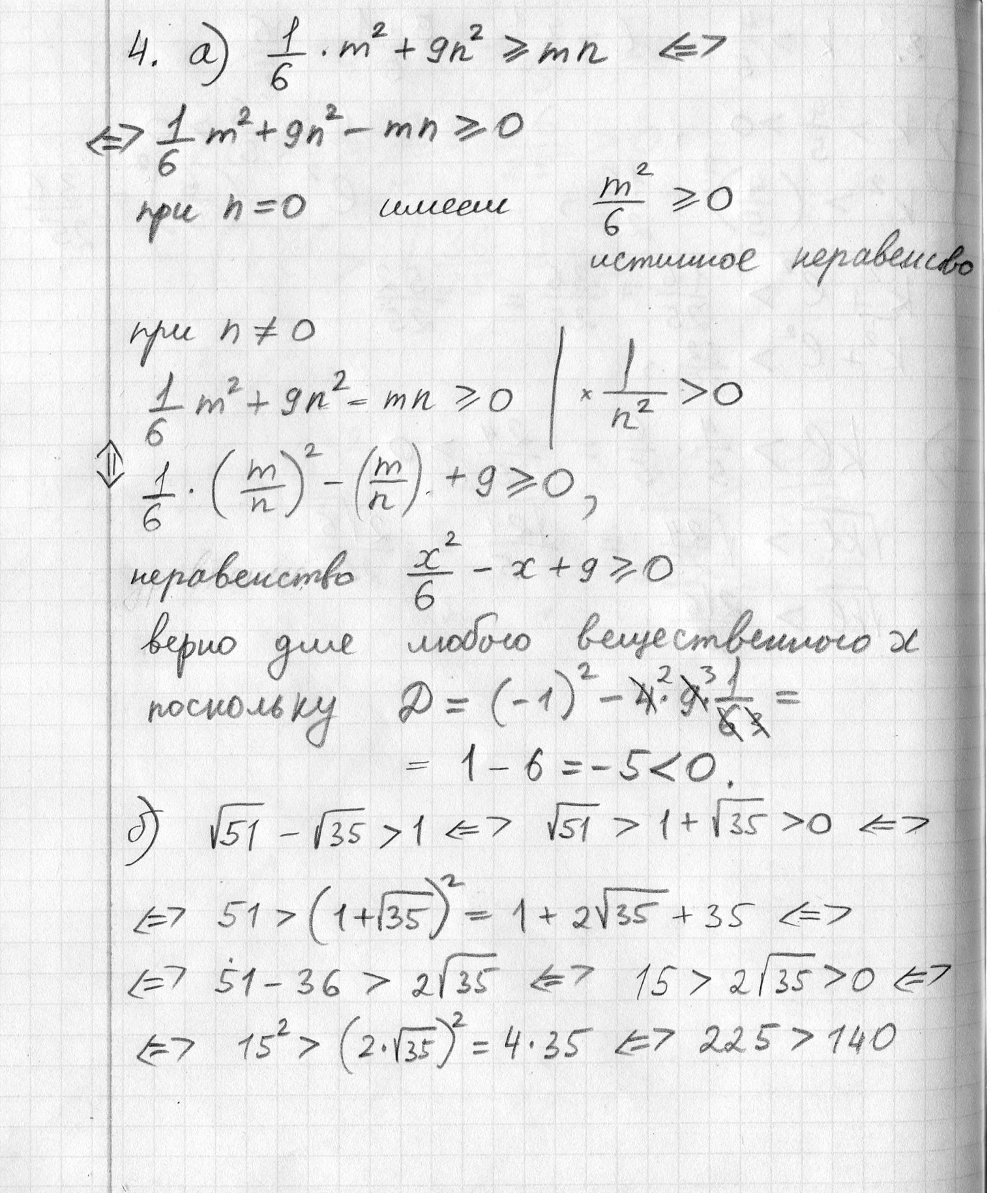
2 вариант 3 или 4 задание срочно надо расписать подробно
Приложения:
Ответы
Автор ответа:
1
я написал решение на двух листочках ===>>
Приложения:
figyshkin2:
спасибо!
Похожие вопросы
Предмет: История,
автор: aikaff1945
Предмет: Русский язык,
автор: jopa6199
Предмет: Алгебра,
автор: oio535322
Предмет: История,
автор: додж2
Предмет: Математика,
автор: Новичок12111