Предмет: Математика,
автор: coldface12
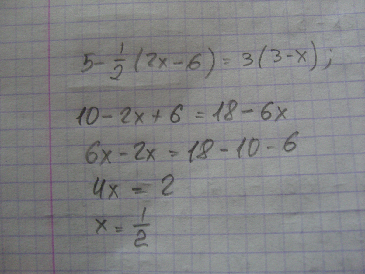
Помогите решить уравнение 5-1/2(2x-6)=3(3-x)
Ответы
Автор ответа:
0
ну вот как-то так:
Приложения:
Похожие вопросы
Предмет: Математика,
автор: Аноним
Предмет: Английский язык,
автор: ilykondratev
Предмет: Химия,
автор: sevamikasa
Предмет: Химия,
автор: Тэти
Предмет: Литература,
автор: Deko279