Предмет: Математика,
автор: 5Ravil23
3 задание помогите. тупа не могуу в
Приложения:
Ответы
Автор ответа:
1
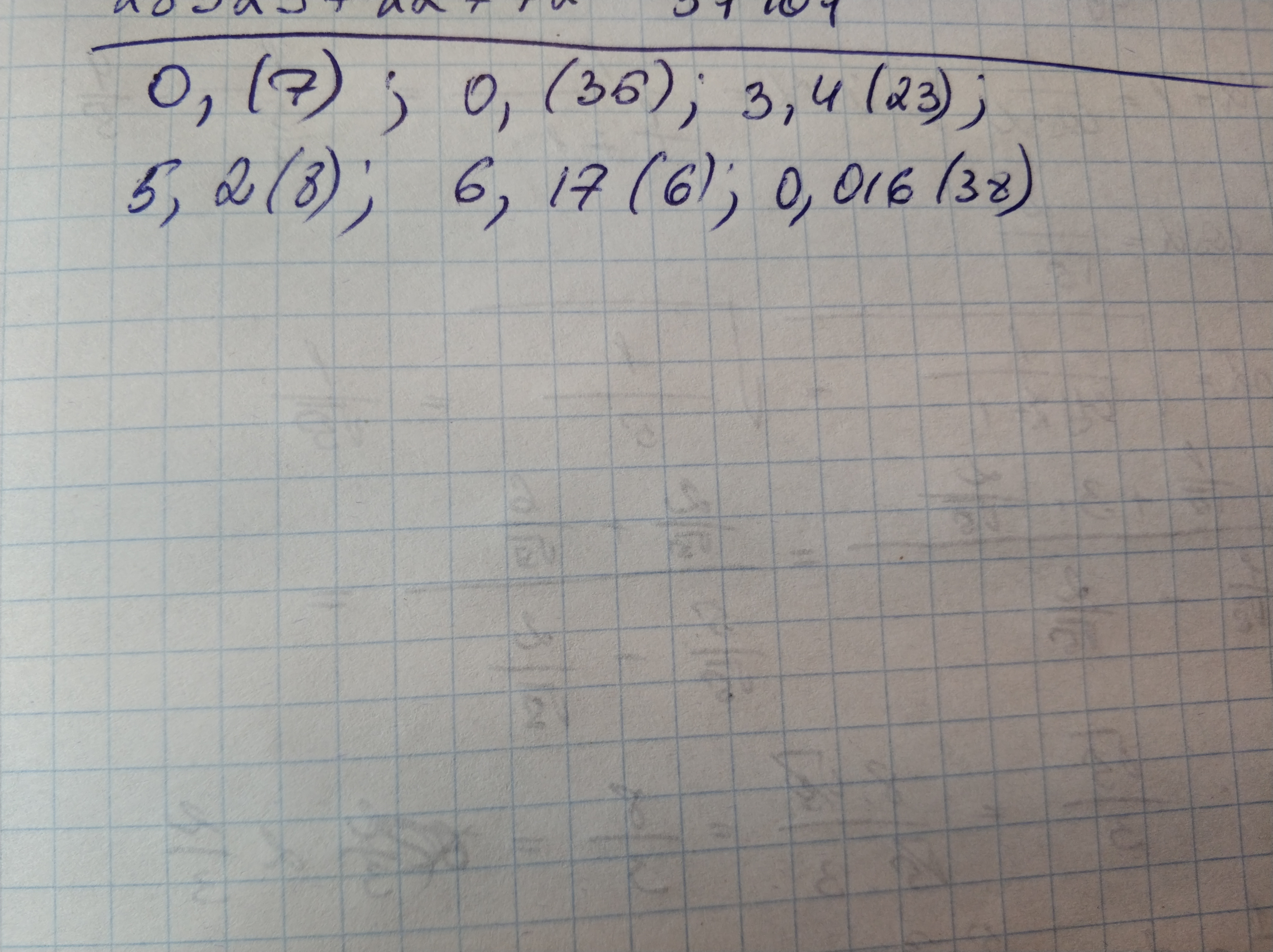
Решение во вложении
Приложения:
Похожие вопросы
Предмет: Математика,
автор: sopplay64
Предмет: Математика,
автор: aminovam882
Предмет: Алгебра,
автор: denisovuu03
Предмет: Геометрия,
автор: AlexanderSmv
Предмет: Физика,
автор: klass69