Предмет: Алгебра,
автор: qetyinxrvbxd
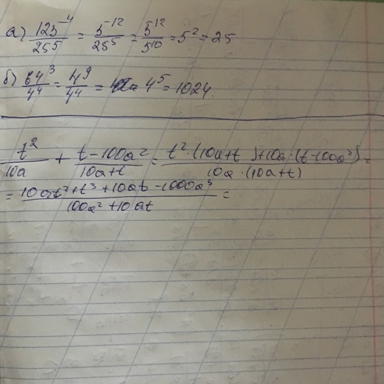
Упрости выражение t² / 10a+t−100a² / 10a+t
Ответы
Автор ответа:
1
Наверное так, больше на получается
Приложения:
Похожие вопросы
Предмет: Математика,
автор: Igor771500
Предмет: Математика,
автор: saydullayevaelnura
Предмет: Немецкий язык,
автор: ola5556
Предмет: Математика,
автор: ешоаклли
Предмет: Алгебра,
автор: роргещрщ