Предмет: Математика,
автор: Аноним
ХЕЛП ПЛЕЕЕЕЗ!!!! (УПРОСТИТЕ.)
Приложения:
Ответы
Автор ответа:
1
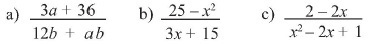
1)3(a+12)/b(12+a)=3/b
2)(5-x)*(5+x)/3(x+5)=(5-x)/3
3)2(1-x)/(x-1)*(x+1)=2/x+1
2)(5-x)*(5+x)/3(x+5)=(5-x)/3
3)2(1-x)/(x-1)*(x+1)=2/x+1
Похожие вопросы
Предмет: Английский язык,
автор: markkinnie
Предмет: Английский язык,
автор: xxameleon2007
Предмет: Математика,
автор: marylyanko
Предмет: Математика,
автор: Umaraliумник
Предмет: Биология,
автор: veronika5g