Предмет: Алгебра,
автор: Вовина79
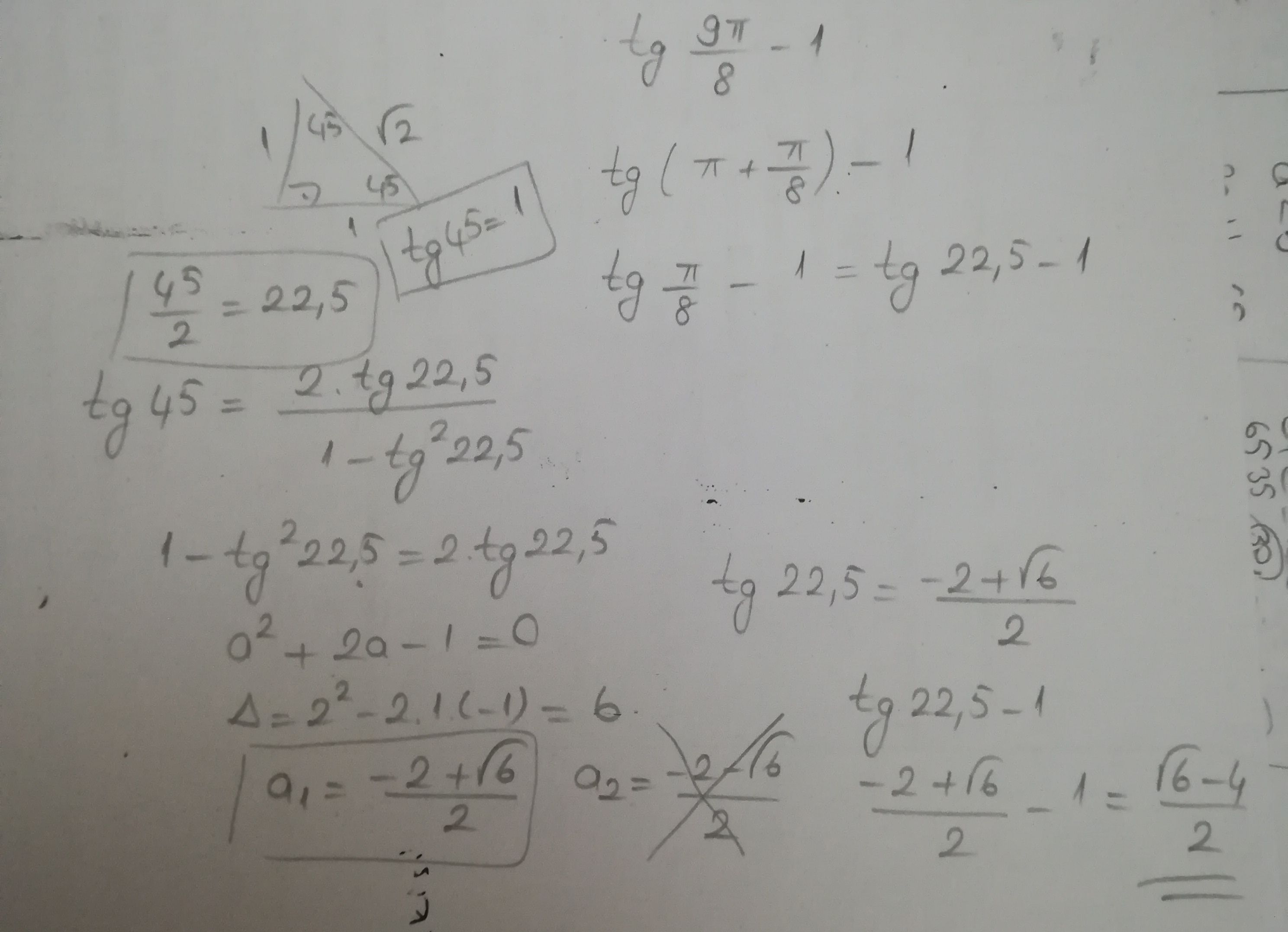
определите знак разности tg9p/8 -1
Ответы
Автор ответа:
2
I hope this helps you
Приложения:
Похожие вопросы
Предмет: Музыка,
автор: iliasbekbergenov125
Предмет: Українська мова,
автор: betteril
Предмет: Английский язык,
автор: wower2282
Предмет: Математика,
автор: арина681
Предмет: Музыка,
автор: bolgov02