Предмет: Математика,
автор: seregaellert
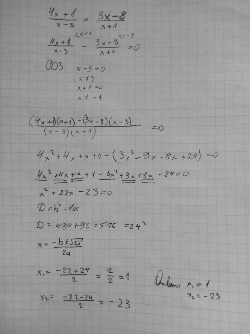
Помогите решить уравнение ,буду благодарен
Приложения:
Ответы
Автор ответа:
0
Решение на фото..................................
Приложения:
Похожие вопросы
Предмет: Биология,
автор: Аноним
Предмет: Геометрия,
автор: kotovichruslana02060
Предмет: Математика,
автор: Karlikos
Предмет: Математика,
автор: яблоко1345