Предмет: Информатика,
автор: QTampL
Помогите пожалуйста.
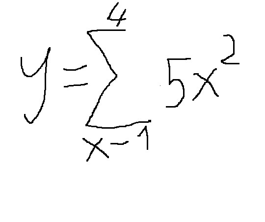
1)вычислить выражения y=∑⁴ₓ₋₁ 5x^2
2)введения целые положительные числа пока их сумма меньше 100 найдите количество целых чисел
Приложения:
Аноним:
Что такое х-1 ? Напишите, пожалуйста нормальную формулу или приложите фото.
вот
Скорее всего там х=1
скорей всего
так вы можете написать программу ?
Ответы
Автор ответа:
0
// PascalABC.NET 3.4.2, сборка 1790 от 15.09.2018
// Внимание! Если программа не работает, обновите версию!
begin
// задача 1
Println(5*(4.Range.Select(t->t*t).Sum));
// задача 2
var (s,k):=(0,0);
repeat
var n:=ReadInteger;
if s+n>100 then break;
s+=n;
k+=1
until False;
Println('Принято чисел: ',k)
end.
Похожие вопросы
Предмет: Математика,
автор: vladfilimonov08
Предмет: Математика,
автор: alikbobr1k
Предмет: Химия,
автор: kotanka
Предмет: Математика,
автор: Аека2308
Предмет: Математика,
автор: Feruza1981Feruza