Предмет: Алгебра, автор: BrianRoger

Пожалуйста помогите решить пример.

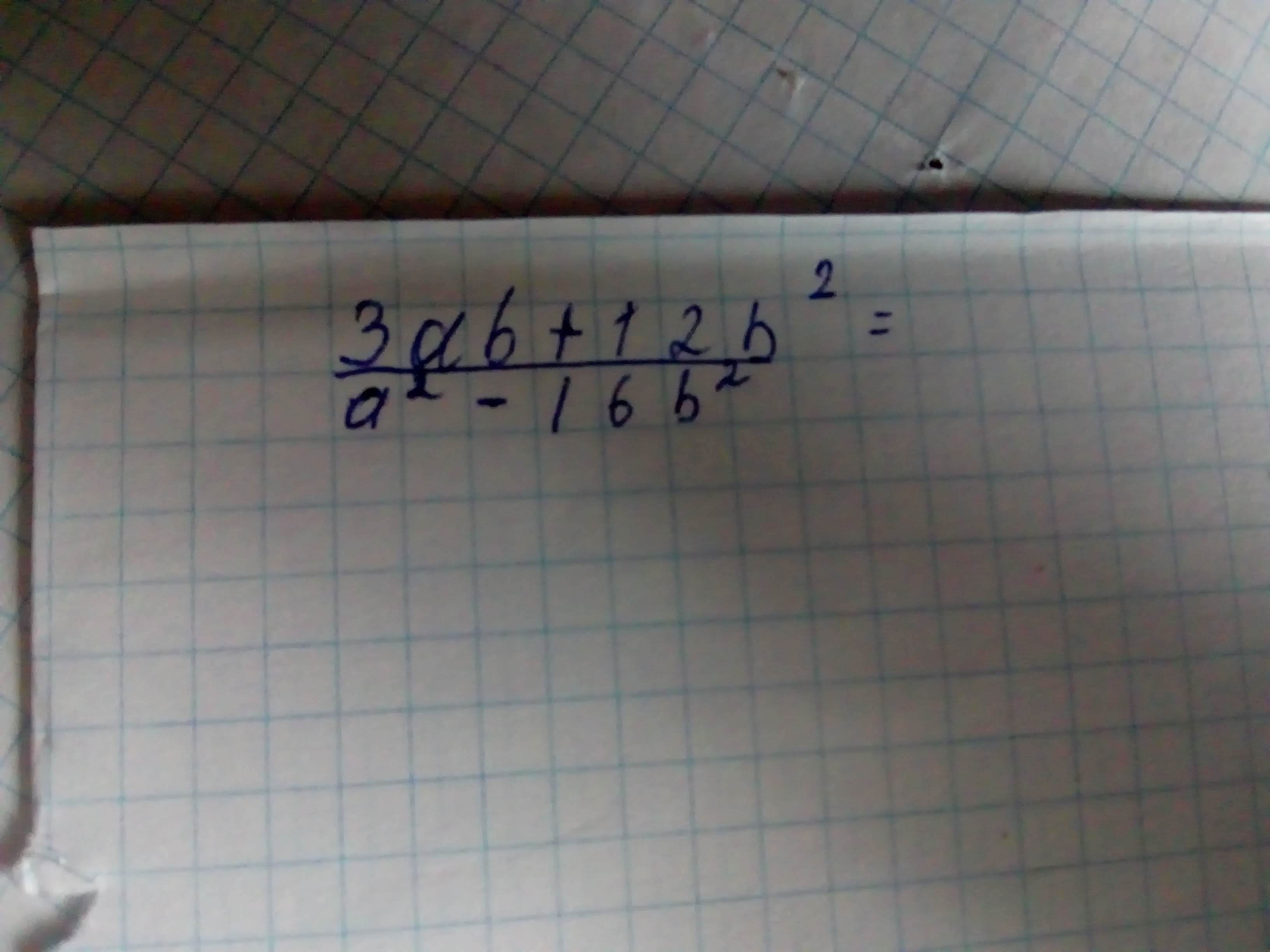
Приложения:

Ответы

Автор ответа: Аноним
1
Вот, лови, надеюсь, я написала понятно ;)
Приложения:
Похожие вопросы
Предмет: Қазақ тiлi, автор: nakyknaki
Ғаламтордың пайдасы мен зияны.
Ғаламтор пайда болғаннан бері адамдардың өмірін жеңілдетіп, барша сұрақтарға жауап табуға мүмкіндік пайда болды.
Ғылым мен техниканың дамыған заманында өз өмірімізді компьютерсіз елестету қиын. Дегенмен, бұл құрылғының пайдасымен қатар зияны де аз емес. Алдымен пайдалы жақтарын атап өтейік:
- Кез келген құжатты басып, шығару мүмкіндігі.
- Ғаламтордан қалаған ақпаратты іздеп табу мүмкіндігі.
-Сонымен қатар ғаламтордың көмегімен әлеуметтік желіде жаңа достар/сырластар/сыныптастарды табу мүмкіндігі.
- Әлемнің түкпір түкпіріндегі ағайын - бауыр, достармен сөйлесу мүмкіндігі.
Дегенмен ғаламтордың пайдасы мен қатар, зиянды жақтары да аз емес.
Ең басты зияны - ол денсаулыққа тигізетін зияны. Компьютер алдында ұзақ отыру көз бен омыртқаға аса үлкен зақым келтіреді. Сондықтан да компьютерда көп жұмыс жасайтын адамдарға арнайы көзілдірік киіп, отырған кезде де арқаны тік ұстауға тырысу керек. Сонымен қатар уақтылы үзіліс жасау керек.
Одан кейінгі келтіретін зиян - ол уақыттың қадірін білмей, компьютерда отыратын уақытты тиімсіз пайдаланып, оның қалай өтіп кеткенін байқамай да қаламыз. Оның орнына пайдалы іспен айналыссақ болар еді. Мысалға, кітап оқысақ, нұр үстіне нұр болар еді. Мұны "ғаламторға тәуелділік" деп айтсақ та болады.
Сонымен қатар ғаламтордағы көптеген жағымсыз ақпарат адам психикасына да жағымсыз әсірін тигізеді.

1. Ғаламтордың пайдалы жақтары қандай?
2. Компьютер алдында ұзақ отыру қандай зиян келтіреді?
3. «Ғаламторға тәуелділік» деген не?
2-тапсырма. Мәтінді 3 бөлікке бөліп, оларды ата.
1.
2.
3.
3-тапсырма
Суреттерді пайдаланып, сұрақтарға толық жауап беріңіз.




• Ғаламтордың пайдасы мен зияны: қайсысы көптеу?
• Жастардың арасында ғаламторға тәуелділік бар ма?
• Ғаламтор тәуелділігінен қалай құтылуға болады?
• Ғаламтор мәдениетін білеміз бе?
Предмет: Математика, автор: dstefaniv7
Предмет: Биология, автор: zxcvbnm07