Предмет: Физика,
автор: lunyaorlova69
Найти угол падения луча, если угол между отбитым лучем и лучем приломления равен 120 градусов.
Приложения:
IUV:
нужно знать показатель преломления
в условии его нет
в условии сказано что луч света падает из воздуха на стекло или на воду ....
либо прийдется ввести самостоятельно как параметр
на воду, точно)
показатель преломления воды равен ....
Ответы
Автор ответа:
1
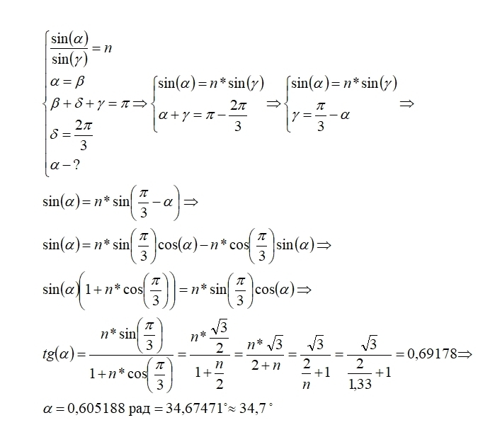
смотри решение во вложении
обозначения соответствуют указанным на рисунке
окончательный ответ 34.7 градусов
Приложения:
спасибо большое
Похожие вопросы
Предмет: Физика,
автор: bekbulatgulim83
Предмет: Математика,
автор: imanoka2010
Предмет: Українська мова,
автор: brazalukmaria
Предмет: Математика,
автор: lelele1212
Предмет: Обществознание,
автор: anastasia291201