Предмет: Математика,
автор: Vladgrushko23
Помогите с заданием с корнями
√(3√2 - 2√5)^2 + 3√2
Ответы
Автор ответа:
0
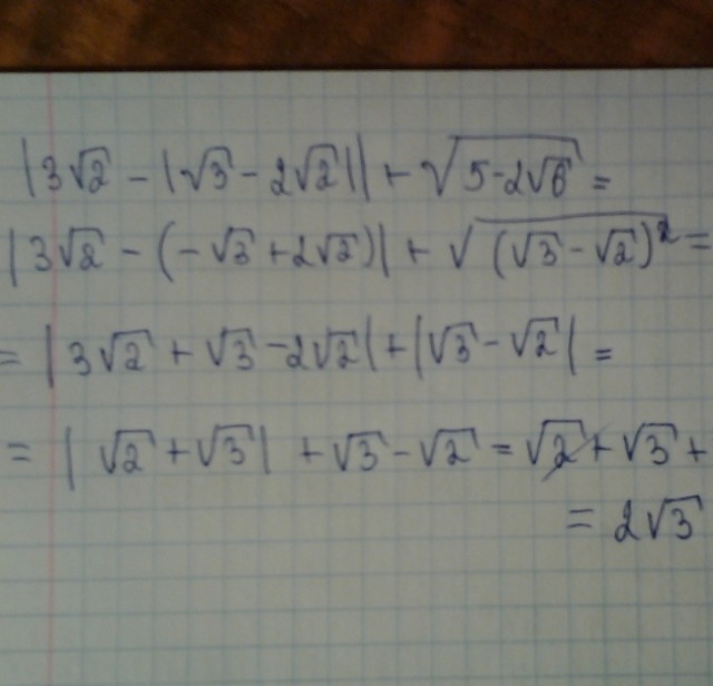
Вот.
Взято с решения девочки такого же задания
Взято с решения девочки такого же задания
Приложения:
Похожие вопросы
Предмет: Литература,
автор: zhuldyzik908
Предмет: Физика,
автор: jennyazovskiy
Предмет: Русский язык,
автор: astarodubova154
Предмет: География,
автор: Аноним
Предмет: Математика,
автор: Людаа2004
Ну как пример похож на твой
Ответ будет другой!!