Предмет: Алгебра,
автор: Аноним
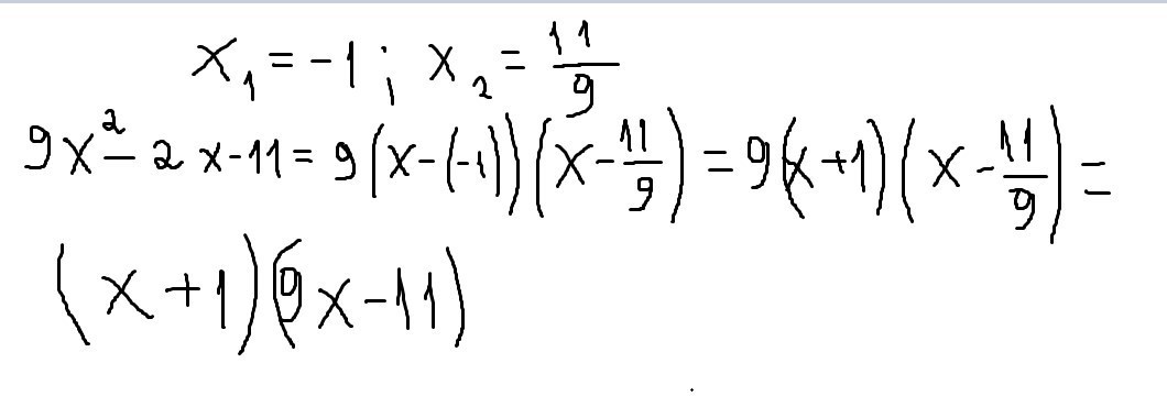
Какое сделали действие чтобы получилась последняя скобка?Куда исчезла 9 перед первой скобкой и что случилось с до второй скобкой и почему с первой ничего не сделали.Помогите пожалуйста.
Приложения:
Ответы
Автор ответа:
1
9•( х+1)•(х-11/9)=
=( х+1)•[9•(х-11/9)]=
=(х+1)(9•х-9•11/9)=
=(х+1)(9х-11)
переместительный закон умножения
a•b•c=b•a•c
ну и распределительный закон умножения
c(d-e)=cd-ce
=( х+1)•[9•(х-11/9)]=
=(х+1)(9•х-9•11/9)=
=(х+1)(9х-11)
переместительный закон умножения
a•b•c=b•a•c
ну и распределительный закон умножения
c(d-e)=cd-ce
Похожие вопросы
Предмет: Геометрия,
автор: loros64338
Предмет: Литература,
автор: petrovanasta969
Предмет: Алгебра,
автор: downshiftermad41
Предмет: Математика,
автор: дашенька20060703