Предмет: Математика,
автор: maleevadara642
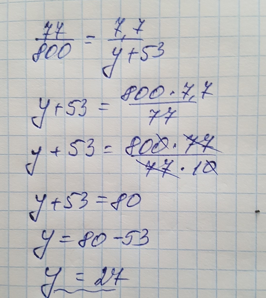
77/800=7,7/у+53;
Найдите у из пропорций
Ответы
Автор ответа:
14
решение задания смотри на фотографии
Приложения:
Похожие вопросы
Предмет: Қазақ тiлi,
автор: aiaulymsarsengalieva
Предмет: Русский язык,
автор: factsonly25
Предмет: Геометрия,
автор: yrudik508
Предмет: Геометрия,
автор: Alecsei2001