Предмет: Химия,
автор: martaslyvka15ox03pw
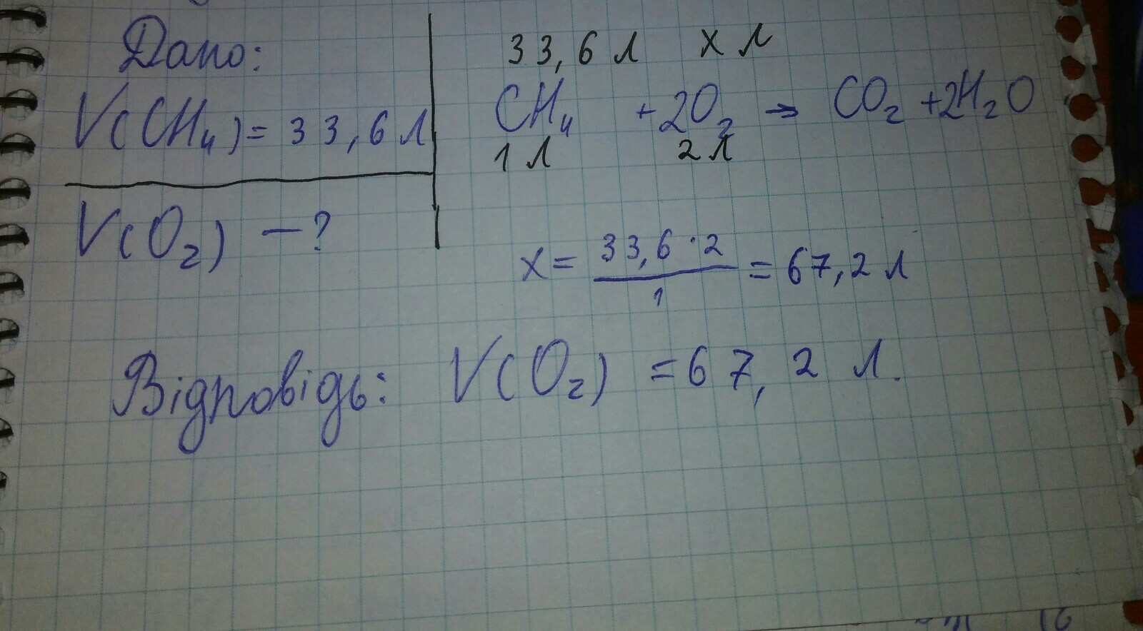
Метан об'ємом 33, 6 л (н. у.) повністю згорів. Обчислість,який об'єм кисню витратився.
Ответы
Автор ответа:
7
Відповідь у файлі...
Приложения:
Похожие вопросы
Предмет: География,
автор: akanesendzu
Предмет: Информатика,
автор: zakazagona20
Предмет: Окружающий мир,
автор: anfissasotsjova
Предмет: Химия,
автор: yloka2001