Предмет: Алгебра,
автор: Аноним
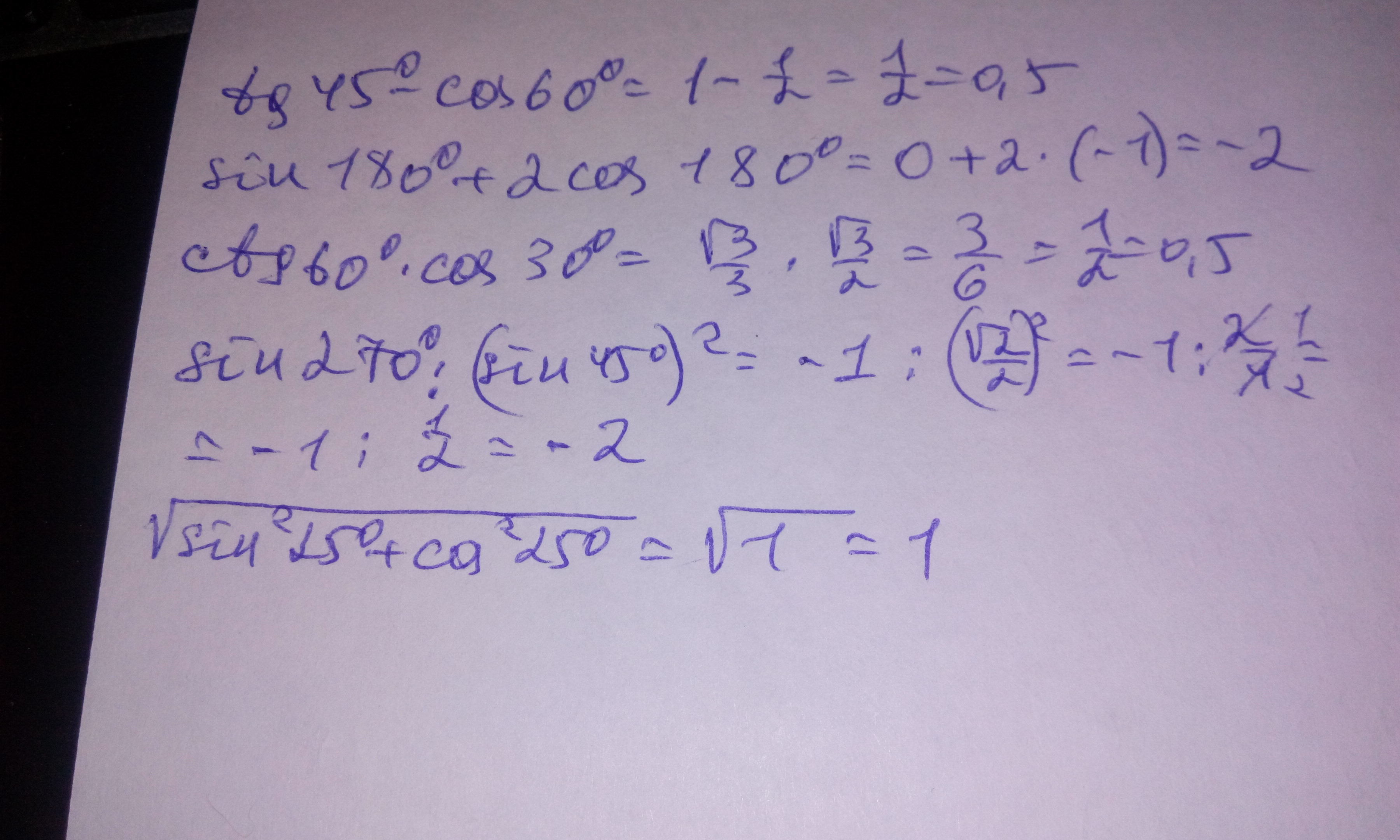
Помогите срочно решить 5 примеров!!!
Приложения:
Ответы
Автор ответа:
1
Используем табличные значения.
Приложения:
Похожие вопросы
Предмет: История,
автор: tayusamu
Предмет: История,
автор: doroshenkodasha1998
Предмет: Физика,
автор: s3282065
Предмет: Математика,
автор: диас40
Предмет: Математика,
автор: olgadolbush