Предмет: Математика,
автор: campar
Тригонометрия.
Помогите решить, сам вообще не понимаю ее.
Желательно, просто дать пару решений, чтобы я понял и дальше сам смог.
Спасибо
Приложения:
alex080297:
Открывай учебник и смотри, понятия я не понимаю и мне лень совершенно разные
Ответы
Автор ответа:
3
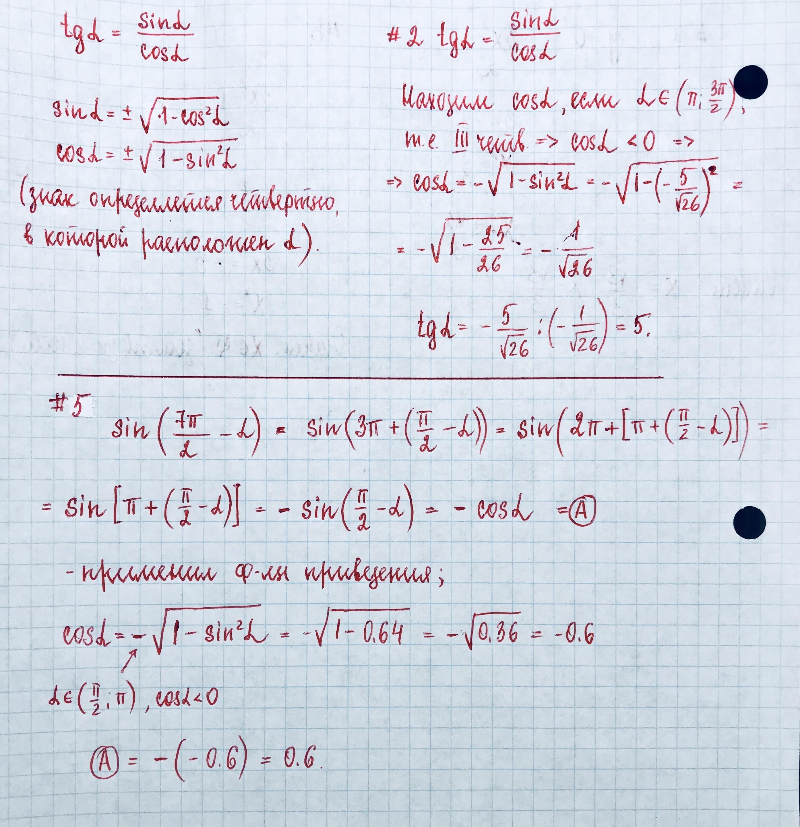
Ловите пару + таблицы, которые вам пригодятся.
Первая содержит знаки триг функций в зависимости от того, в какой четверти расположен угол аргумента.
Вторая включает в себя результаты применения формул приведения.
Удачи!
Приложения:
Похожие вопросы
Предмет: Математика,
автор: Аноним
Предмет: Биология,
автор: kirazvezda13
Предмет: Алгебра,
автор: veronikakorzinova
Предмет: Математика,
автор: айко37
Предмет: Математика,
автор: дкр2005