Предмет: Алгебра,
автор: lovekat76
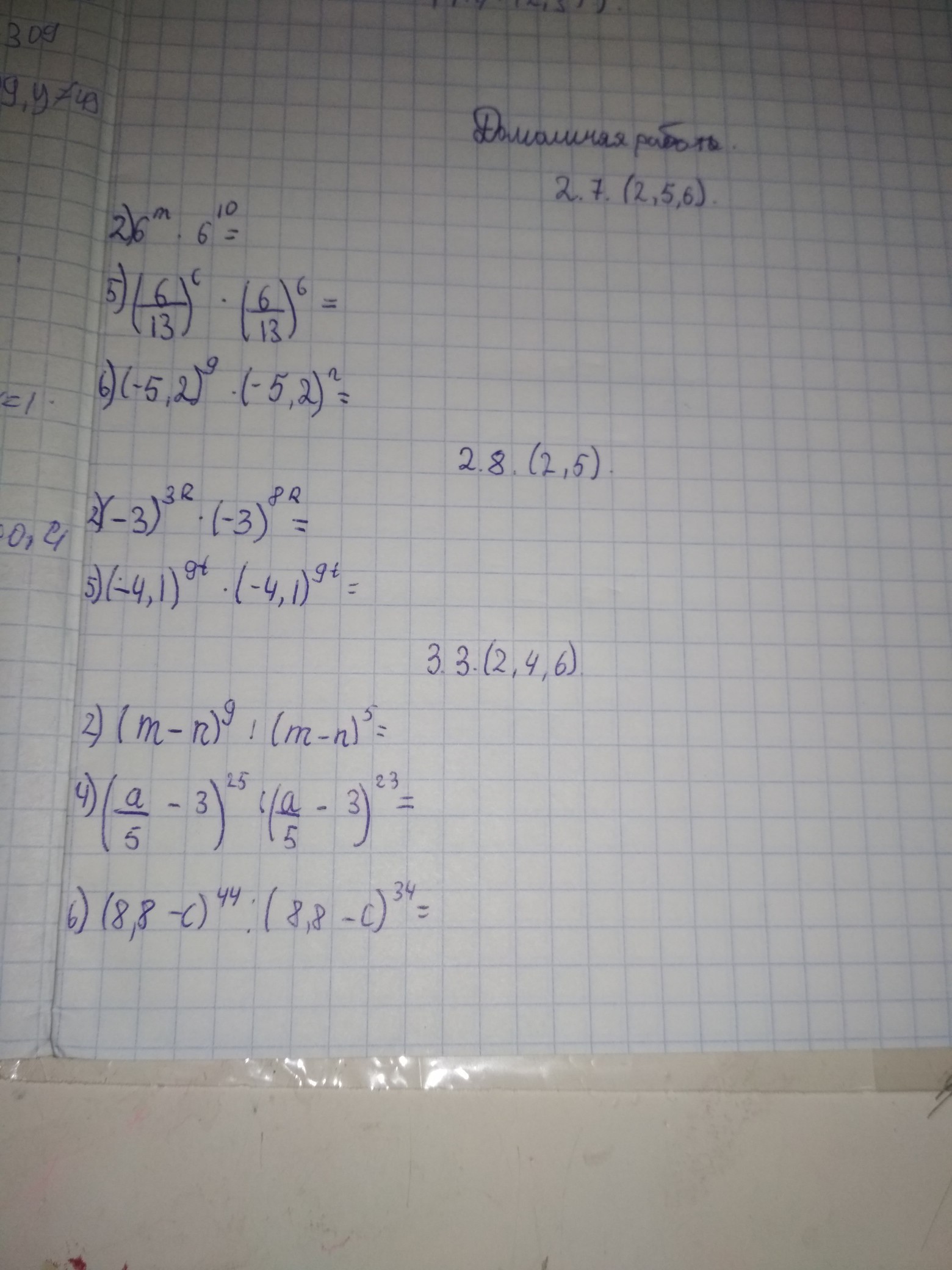
помогите пожалуйста срочно 2.7.и 2.7 упростите выражение
Приложения:
Ответы
Автор ответа:
3
решение задания смотри на фотографии
Приложения:
1233090:
спасибо за оценку
Похожие вопросы
Предмет: Қазақ тiлi,
автор: kseniyaps3
Предмет: Другие предметы,
автор: nurdaulet1997n7
Предмет: Русский язык,
автор: Аноним
Предмет: Физика,
автор: Жусуп0303