Предмет: Алгебра,
автор: clay5
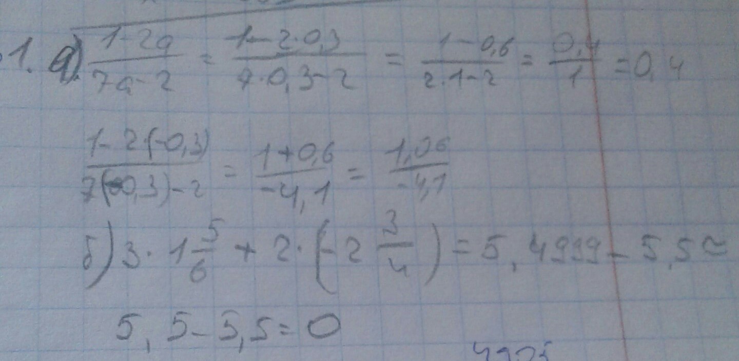
Плз плз плз плз плз плз плз плз плз плз
Приложения:
Ответы
Автор ответа:
0
2 задание надо делать?
Приложения:
Похожие вопросы
Предмет: Алгебра,
автор: esevcova04
Предмет: ОБЖ,
автор: annalozkova453
Предмет: История,
автор: radaevaelizaveta57
Предмет: Литература,
автор: borodinaa
Предмет: Математика,
автор: olgmfon1