Предмет: Алгебра,
автор: vassimal
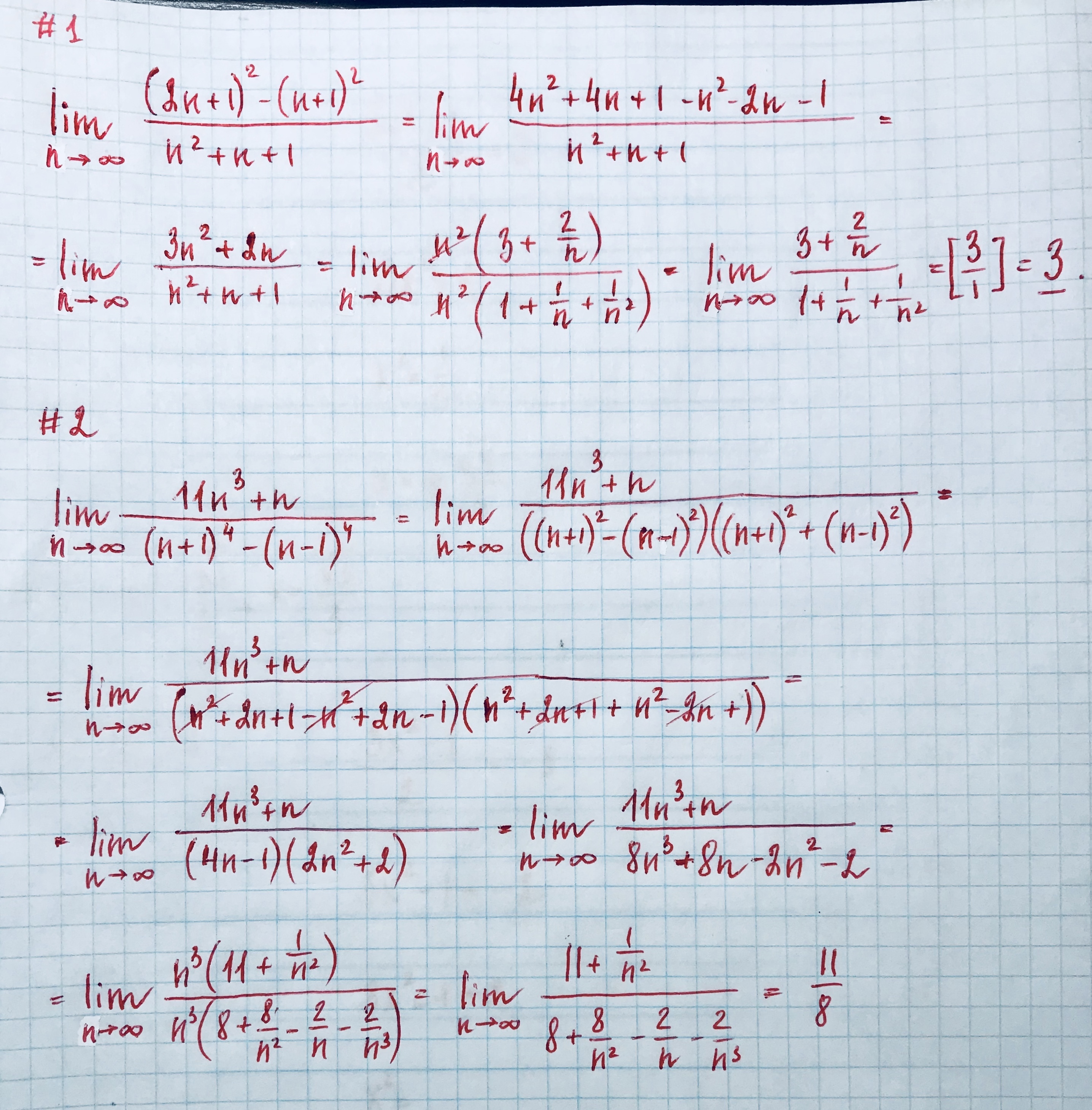
Вычислить лимит предела последовательности:
1) lim ((2n+1)^2-(n+1)^2)/(n^2+n+1)
2)lim (11n^3+n)/((n+1)^4-(n-1)^4)
vassimal:
Во всех примерах n стремится к бесконечности
Ответы
Автор ответа:
5
Ловите решение. Удачи вам!
Приложения:
Похожие вопросы
Предмет: Химия,
автор: KREZIT1
Предмет: Другие предметы,
автор: rror23637
Предмет: Литература,
автор: saparbaevazasmin0
Предмет: Химия,
автор: Сашенька08