Предмет: Алгебра,
автор: eduard5566
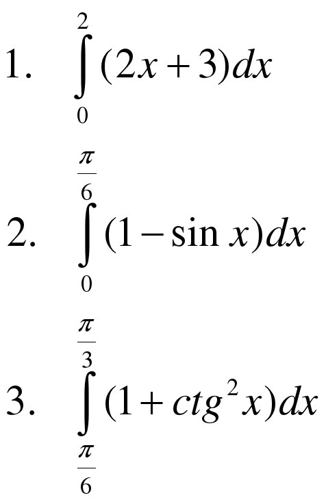
Интегралы,помогите!....срочно
Приложения:
Ответы
Автор ответа:
1
У меня так получается,надеюсь, что правильно,удачи.
Приложения:
Похожие вопросы
Предмет: Українська мова,
автор: sasha5267
Предмет: Алгебра,
автор: Taehyung35
Предмет: Математика,
автор: akwalor
Предмет: Алгебра,
автор: Chickwer47
Предмет: Математика,
автор: ПелагеяКалашникова1