Предмет: Алгебра,
автор: grach23
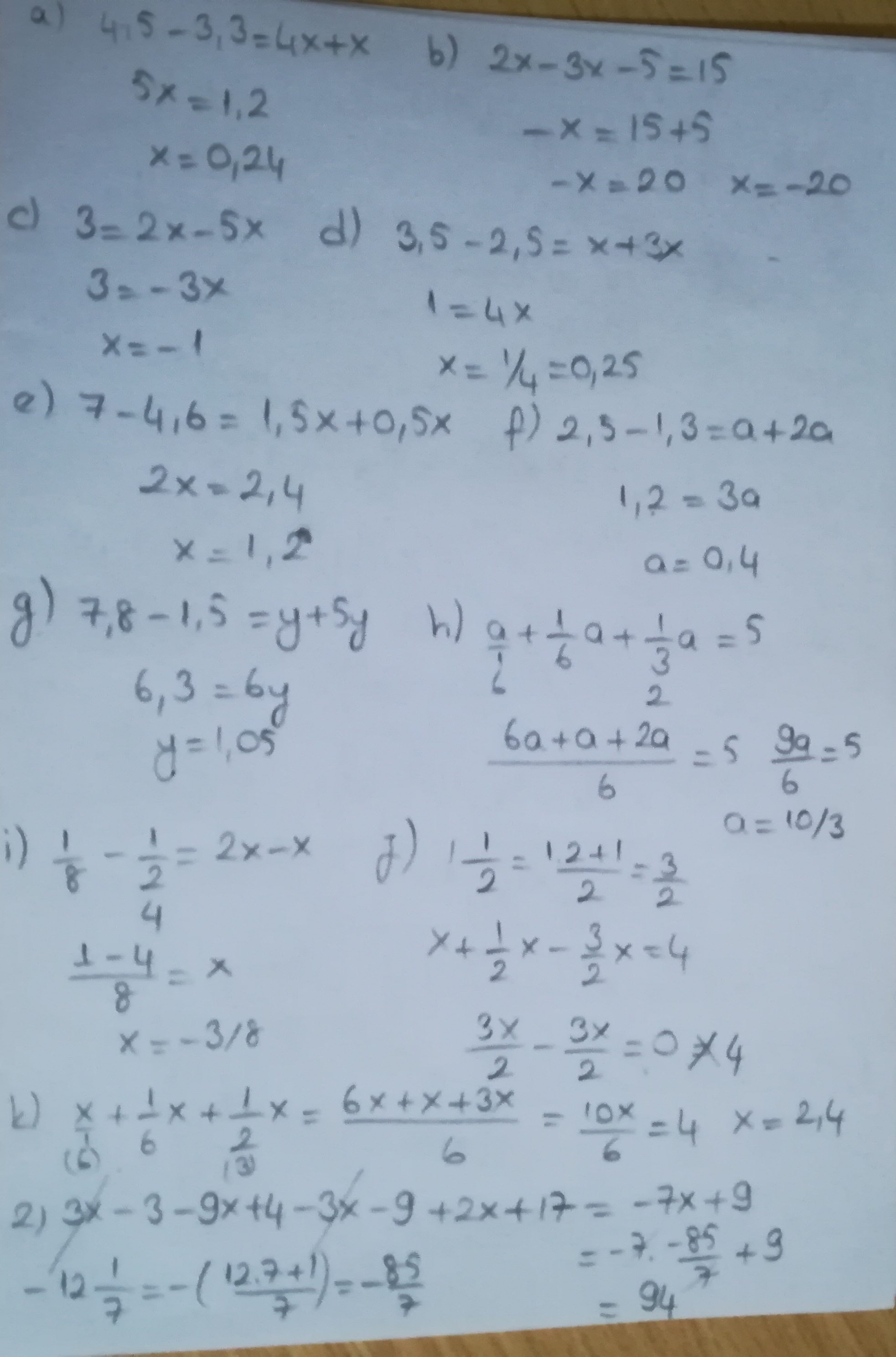
Помогите с уравнениями
Приложения:
Ответы
Автор ответа:
1
I hope this helps you
Приложения:
Похожие вопросы
Предмет: Литература,
автор: dablomark3
Предмет: Алгебра,
автор: soniagollo716
Предмет: Физкультура и спорт,
автор: alibekbekbauliev552
Предмет: Математика,
автор: BellA9511
Предмет: Математика,
автор: Настена120010712