Предмет: Математика,
автор: chmobolotnoe
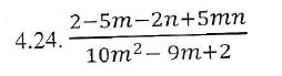
помогите решить, пожалуйста
Приложения:
Ответы
Автор ответа:
0
2-5m-2n+5mn / 10m²-9m+2 = (2(1-n)-5m(1-n)) / ((5m+2)(2m+1)) = ((2-5m)(1-n)) / ((5m+2)(2m+1)) = (-(5m+2)(n-1)) / ((5m+2)(2m+1)) = - (n-1) / (2m+1)
Похожие вопросы
Предмет: Русский язык,
автор: yunusovamaya2
Предмет: Русский язык,
автор: angelinagrigoryan06
Предмет: Қазақ тiлi,
автор: samusenkoa485
Предмет: Математика,
автор: Famik
Предмет: География,
автор: ЖуковМихаил