Предмет: Алгебра,
автор: Tanya2004god
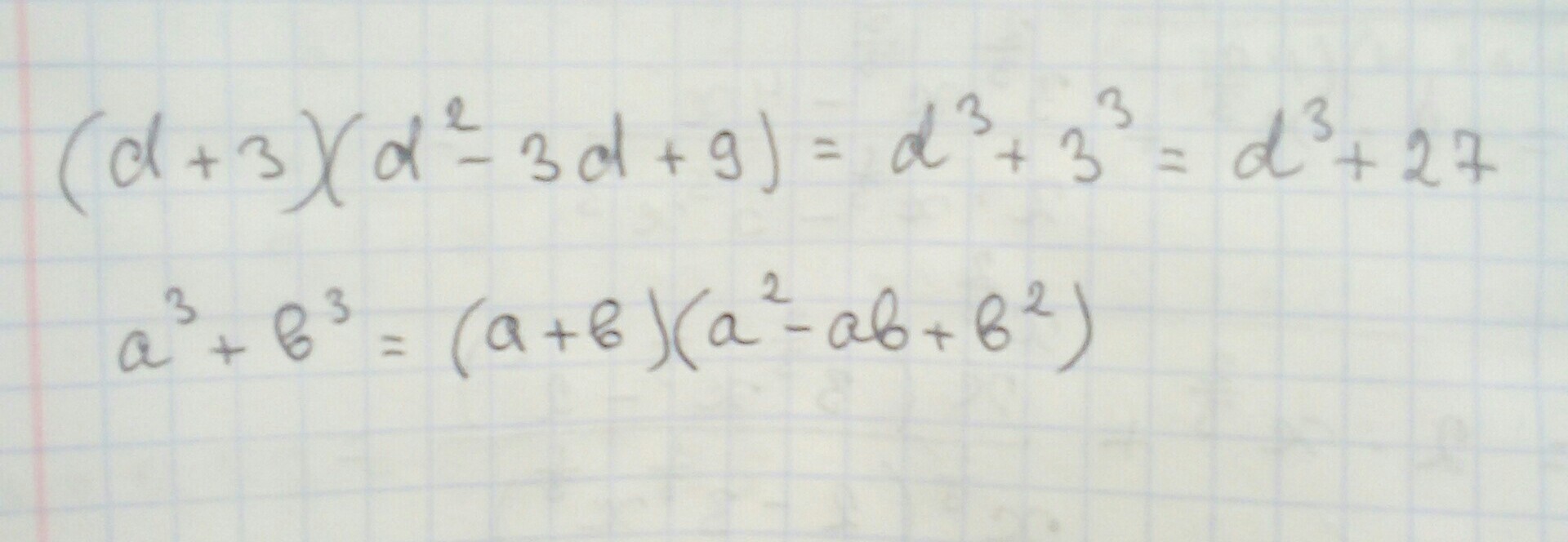
Представьте в виде многочлена (d+3)(d2-3d+9)
Ответы
Автор ответа:
3
по формуле суммы кубов
Приложения:
Похожие вопросы
Предмет: Математика,
автор: dariukha
Предмет: Информатика,
автор: qiiip4p
Предмет: Русский язык,
автор: adubaichik2006
Предмет: Алгебра,
автор: kdjxxnsms