Предмет: Алгебра, автор: dianasarbayeva3110

Решите пожалуйста уравнение 3x в квадрате +x-2=0

Ответы

Автор ответа: dtnth
0

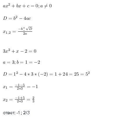
ax^2+bx+c=0; a \neq 0

D=b^2-4ac

x_{1,2}=\frac{-b^+_-\sqrt{D}}{2a}


3x^2+x-2=0

a=3;b=1=-2

D=1^2-4*3*(-2)=1+24=25=5^2

x_1=\frac{-1-5}{2*3}=-1

x_2=\frac{-1+5}{2*3}=\frac{2}{3}

ответ: -1 ; 2/3

Приложения:
Похожие вопросы
Предмет: Математика, автор: maksimkasancuk24