Предмет: Алгебра, автор: Ackerman12

Помогите с 3.12 и 3.14. Пожалуйста.

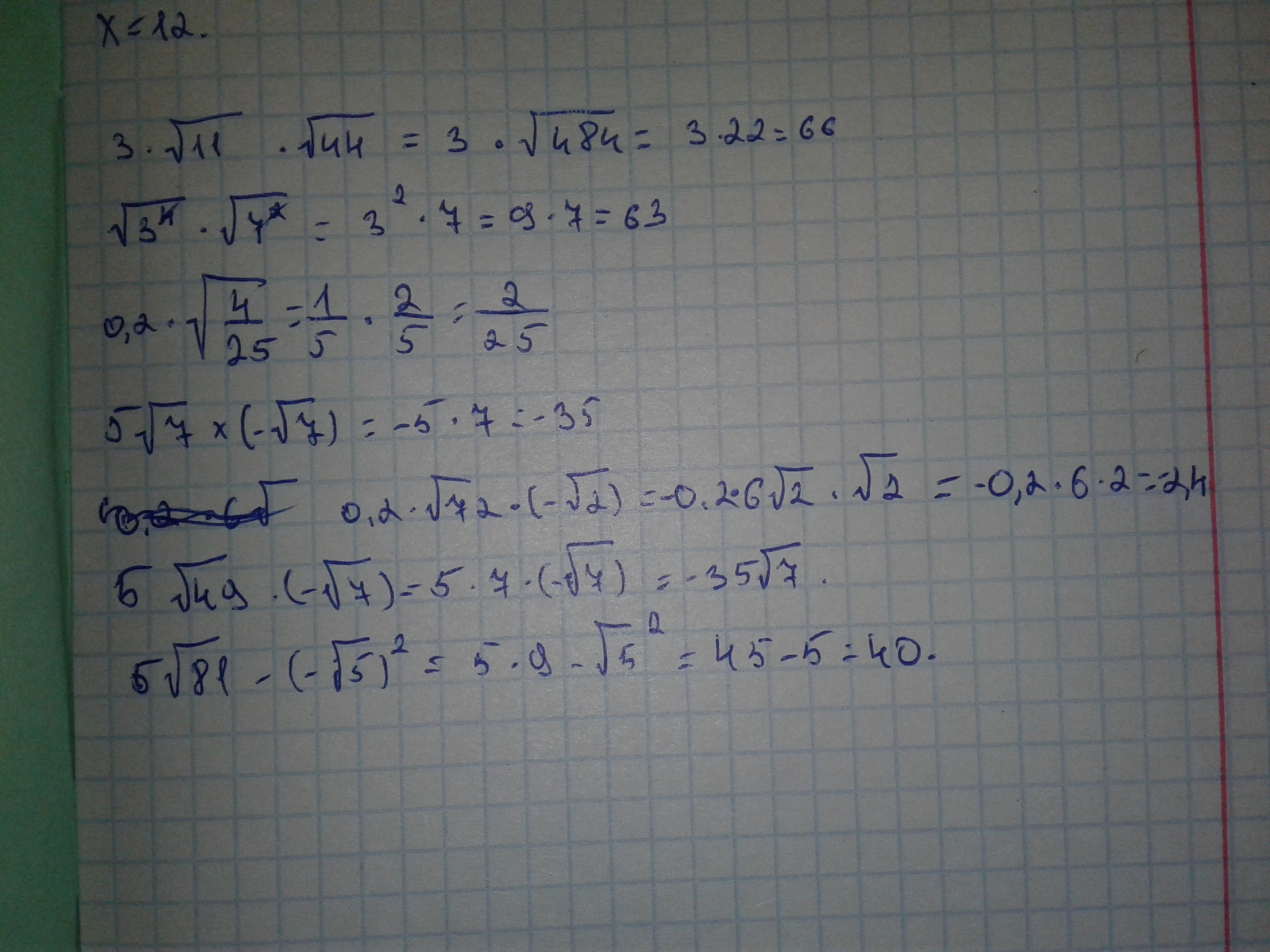
Приложения:

Ответы

Автор ответа: diasash
0

Кароче ворде так,если нет,то я не знаю

Приложения:
Похожие вопросы
Предмет: Русский язык, автор: safonovapola206
Б…ч…вка, веч…рка, деш…вый, ж…ваный, ж…лоб, ж…лтый, ж…лудь, ж…лчь, ж…рнов, ж…сткий, зач…т, кош…лка, печ…нка, пощ…чина, прич…ска, пч…лка, пш…нка, пш…нник, расч…ска, реш…тка, саж…нки, сч…т, уч…ба, уч…т, ч…боты, ч…лка, ч…лн, ч…рствый, ч…рточка, чеч…тка, ш…пот, щ…голь, щ…лка, щ…тка. Ж…кей, ж…нглёр, ш…кировать, ш…колад, ш…ссе, ш…фер,  лавч..нка, трещ….тка, трущ…ба, восхищ…нный, медвеж…нок, скач…к, врач…м, бойц…м, саранч…й, туч…й, камыш…м, общ…, платеж…м, фарш…м, калач…м, мяч…м, поклаж…й, борщ…м, ш…пот, тяж…лый, голыш…м, одеяльц…м, щ…лочка, ж…нглёр, ш…кировать, ш…роховатый, ж…лоб, трущ…ба, чащ…ба, чеч…тка, прож…ванный, щ…голь, расч…ска, ш…мпол, ч…ткий, кож…й, страниц…й, сторож…м, плеч…м, рощ…й, плач…м, палач…м, товарищ…м, гараж…м, певуч…, девч…нка, ч…рный. Крыж…вник, еж…вый, испеч…нный, ш…пот, деш…вый, ж…сткий,разоруж…нный, свинц…вый, перц…ый, меж…й, туч…й, лапш…й, смеш…н, окруж…н, ключ..вая  вода, замш..вые перчатки ,  груш..вое варенье,  холщ…вый мешок, парч…вое платье, ,   камыш..вые заросли, кумач..вые флаги, окруж..нный, пораж..н,   пересеч..нный, взращ..н   ш..cce, ж..кей, еж..вый, щ..голь, бумаж..нка, влеч..т,  , туш...нка, лучш...го, ухаж..р, стаж..р, ш..пот, ш..лковый, ш..рты, ш..тландец, ш...мпол, ещ..., деш...вый, щ...тка, прож...рливость, ж...лоб, печ...нка, пш...нка, кош...лка. Барж...й, дириж...р, капюш...н, трущ...ба, ч...каться, лезть на рож...н, ш...рник, ш...кировать, ш...к, ретуш...р, тяж...лый,   ж...нглёр, печ...т, ж...лоб, сош...л, моч...ный, оглуш...нный, ш...птать, щ...лочь, ж...рдочка, ч...ртовщина, саж...нки, заглуш...н, протяж...нность, освещ...н,   расч...т, чеч...тка, ж...рнов.​
Предмет: Математика, автор: leraleralera7771