Предмет: Математика, автор: ppomogitii

Помогите с уравнением, заранее спасибо!

Приложения:

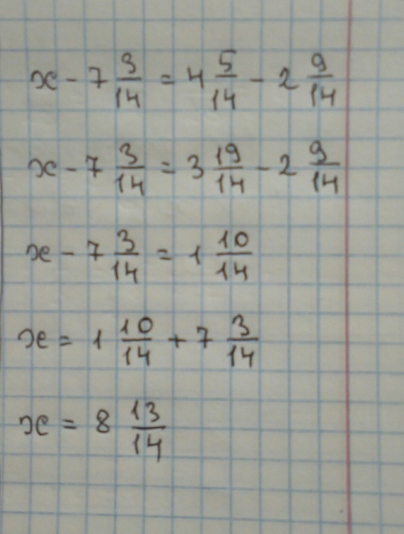
ЯгодкаЯлесная: х = 8 13/14

Ответы

Автор ответа: ritakh03
3

Я написала как решать,ответить будет : х=3/14

Приложения:
Автор ответа: ЯгодкаЯлесная
3
фоточка тебе в помощь
Приложения:
Похожие вопросы
Предмет: Қазақ тiлi, автор: Daniarismailov1337
Предмет: Английский язык, автор: Slfoed
Жил-был на свете дракон. Звали его Комодо.
Он умел извергать огонь, и поэтому все жители его боялись. Заслышав его шаги, все разбегались и прятались.
А шаги его было не возможно не услышать, потому что Комодо носил сразу три пары башмаков – у драконов ведь шесть ног!
Но вот однажды Комодо повстречал девочку Сьюзи, которая его ничуть не испугалась.
– Зачем ты извергаешь огонь? – спросила она. – Ты же всех пугаешь!
– Ну, – ответил дракон, – я… хм… я не знаю. Как-то не думал об этом. А что, больше не надо пугать?
– Конечно, не надо, – сказала Сьюзи.
– Ладно, не буду, — пообещал Комодо. Они попрощались, и Сьюзи пошла домой. Уже стемнело, но фонарщик Чарли почему-то не зажигал огней, и прохожие не знали толком, куда им идти.
Оказывается, Чарли даже не вставал в этот день с постели. Он слишком устал накануне вечером и не успел ещё как следует отдохнуть. Он крепко спал А мэр города, сэр Уильям, очень сердился. Он не знал, как зажечь уличные фонари.
И тут Сьюзи пришла в голову удачная мысль. Она побежала назад, к пещере Комодо, и привела дракона в город. Они вдвоём обошли все улицы; дракон извергал огонь и зажигал подряд все фонари. Жители города очень обрадовались. С тех пор они совсем перестали бояться дракона. И каждый год, когда фонарщик Чарли уезжал в отпуск, они звали Комодо зажигать на улицах города фонари.(ПЕРЕВЕСТИ СРОЧНО!!!)