Предмет: Алгебра,
автор: Аноним
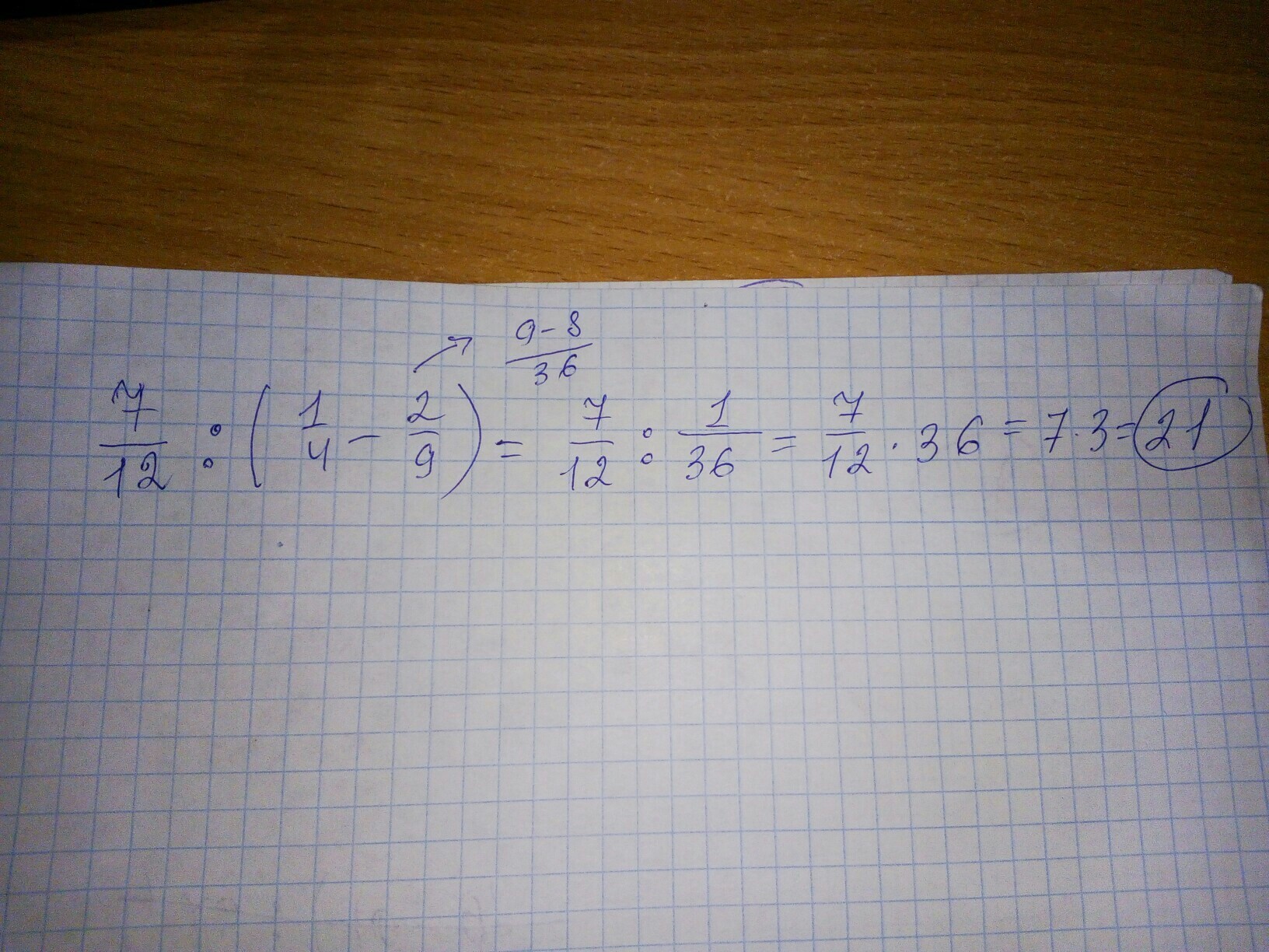
первое задание пожалуйста)
Приложения:
Ответы
Автор ответа:
1
Надеюсь,что понятно...
Приложения:
Похожие вопросы
Предмет: Алгебра,
автор: lexifaz
Предмет: Биология,
автор: Аноним
Предмет: Русский язык,
автор: nelliakopan3
Предмет: Математика,
автор: Аноним