Предмет: Алгебра,
автор: Аноним
первое решите пожалуйста
Приложения:
Ответы
Автор ответа:
2
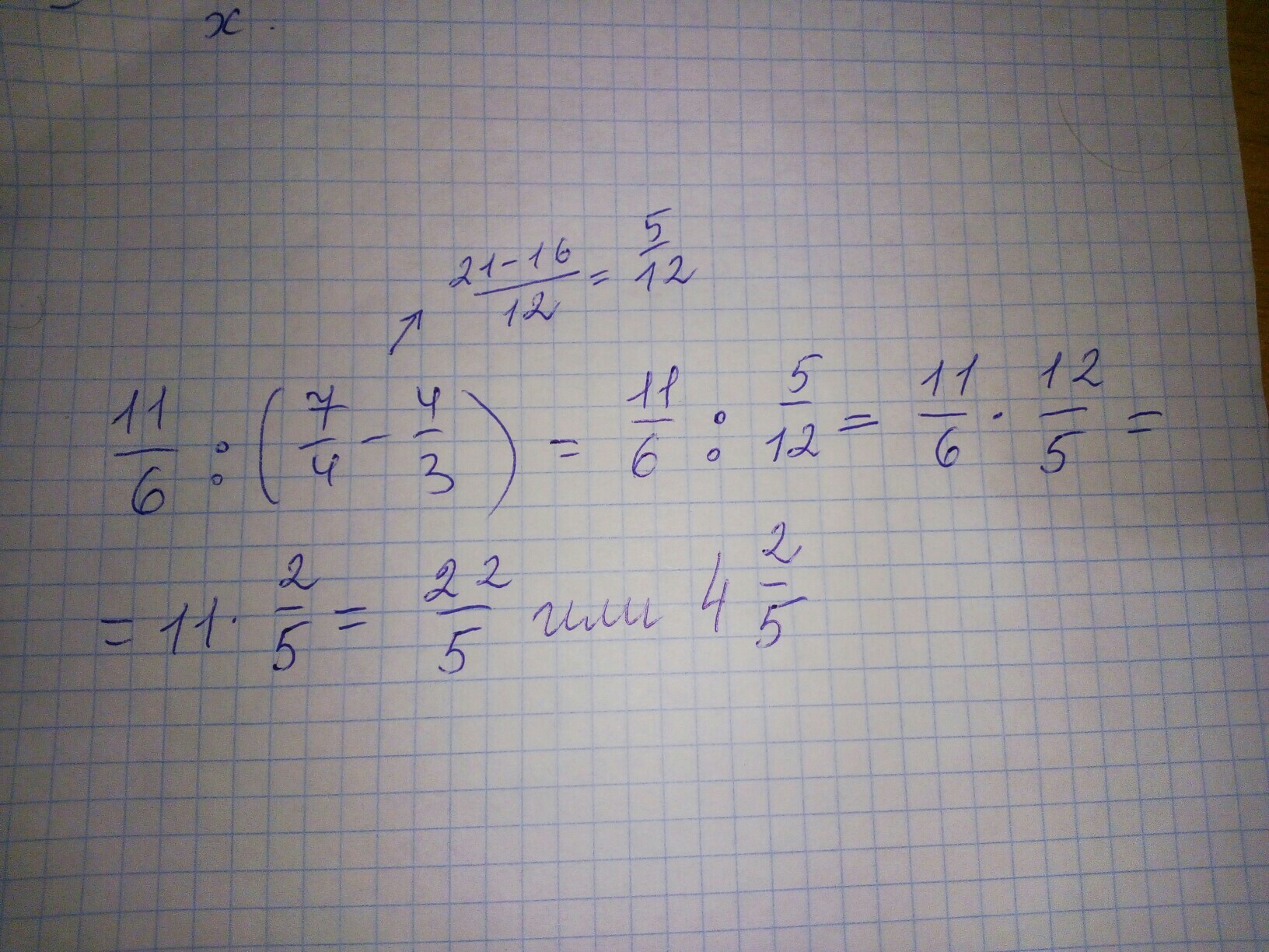
Все легко и просто...
Приложения:
LFP:
или 4.4 (десятичной дробью)
Естественно,конечно. :)
Похожие вопросы
Предмет: Алгебра,
автор: plaksintima08
Предмет: Математика,
автор: alsunazarova334
Предмет: Алгебра,
автор: pssosposossosl
Предмет: Математика,
автор: MariRJ
Предмет: Алгебра,
автор: paninadiana15