Предмет: Информатика,
автор: imaev16
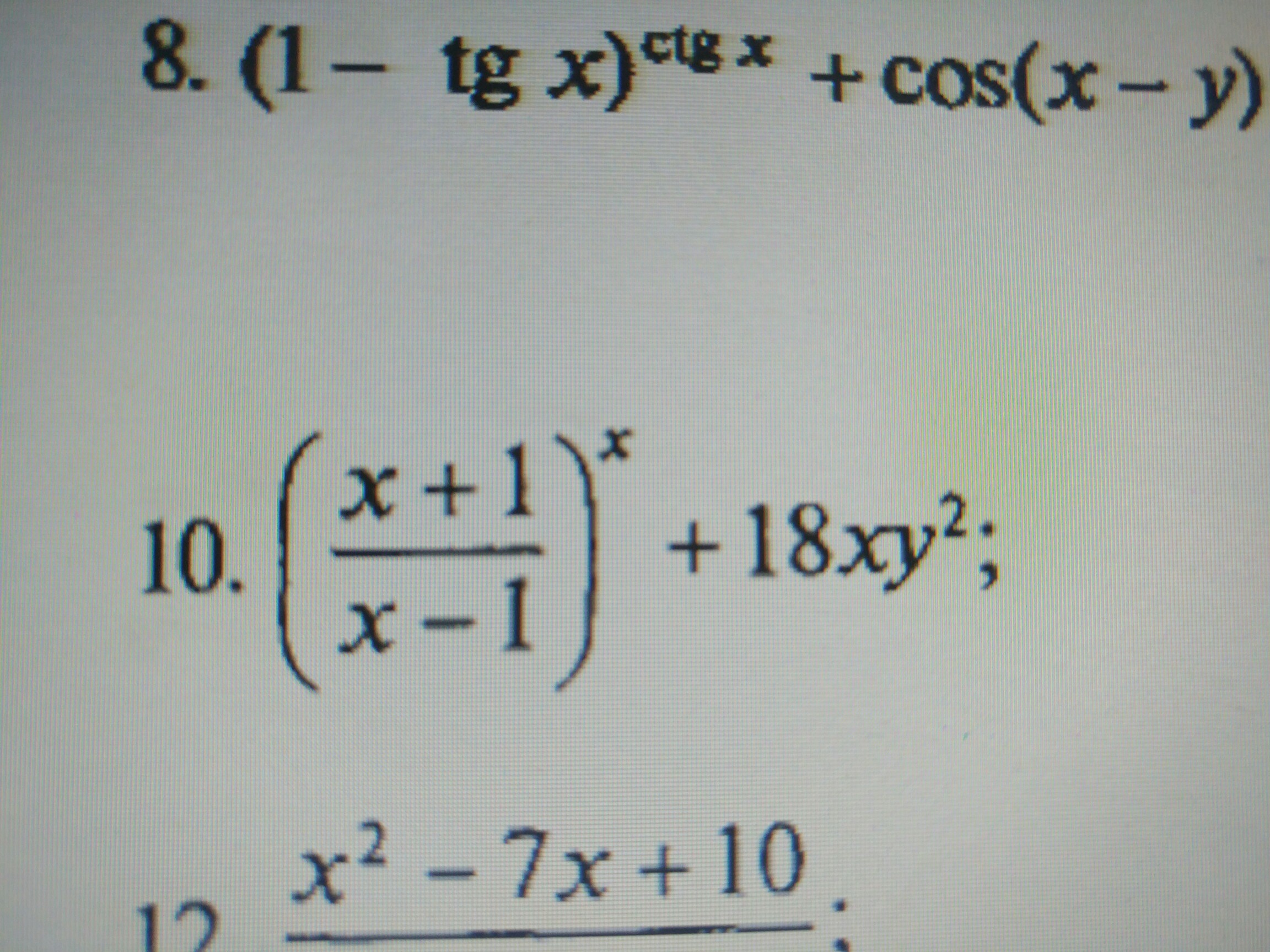
Помогите с 10 заданием пожалуйста. Его надо сделать на Python'e
Приложения:
Ответы
Автор ответа:
0
Для Python 3.0+
x = int(input('Введите x ')) #Ввод х
y = int(input('Введите y ')) #Ввод у
print((((x+1)/(x-1))*x)+(18*x*y*y)); #Вывод ответа
imaev16:
Программа не выводит x в степень
print((((x+1)/(x-1))^x)+(18*x*y*y))^2
Исправлено.
Исправлено.
Похожие вопросы
Предмет: Алгебра,
автор: Leonstar1
Предмет: История,
автор: ZHEKA4KA
Предмет: Английский язык,
автор: evaeva72
Предмет: История,
автор: Настя11miks
Предмет: География,
автор: ппп154