Предмет: Алгебра,
автор: Akulo4ka
Пожалуйста, помогите, срочно, дам 50 баллов!
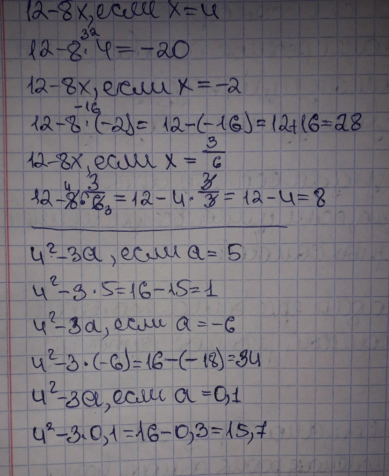
1) 12 - 8x , если x = 4; -2; 0; 3/6 (дробь)
2) 4² - 3a , если a= 5; -6; 0,1
Ответы
Автор ответа:
2
помогла ррррррррррррр
Приложения:
Akulo4ka:
боже, спасибо тебе огромное, рада, что хоть кто-то отозвался на мой зов помощи, ты не представляешь, как ты мне помогла! <3
незачто
Похожие вопросы
Предмет: Алгебра,
автор: isad21505
Предмет: Математика,
автор: kcurkina93
Предмет: Қазақ тiлi,
автор: azamataziza2011
Предмет: Математика,
автор: mamankoka