Предмет: Алгебра,
автор: martaviy
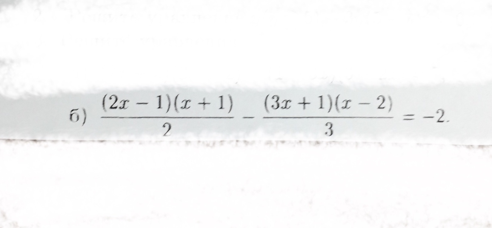
Решите уравнение(нужно очень!)
Приложения:
Ответы
Автор ответа:
2
Решите уравнение(нужно очень!)
Приложения:
Похожие вопросы
Предмет: Математика,
автор: geine33395
Предмет: Английский язык,
автор: dildegazievaa
Предмет: География,
автор: set807042
Предмет: Математика,
автор: Ирина20041111
Предмет: История,
автор: 1Гуннер32пт