Предмет: Математика,
автор: alinatyskunovapel96j
пж упростите очень нужно
Приложения:
Ответы
Автор ответа:
1
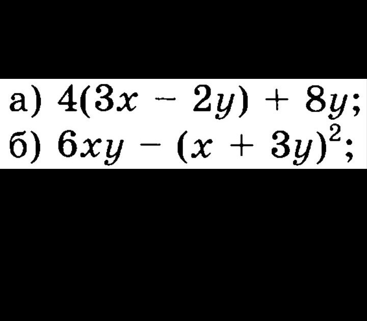
а) 12x -8y+8y=12x
b) 6xy-(x^2+6xy+9y^2)=6xy-x^2-6xy-9y^2=-x^2-9y^2
Автор ответа:
0
4 умножаем на числа в скобке 12x-8y+8y
6xy-(x+3y)во второй степени
6xy-(x2 степень+6xy+9y2 степень)
6xy-x2 степень-6xy-9y2 степень
-x2 степень-9y2 степень
Похожие вопросы
Предмет: Физика,
автор: Temmie0827110
Предмет: Физика,
автор: bdievradik
Предмет: Геометрия,
автор: che1ze
Предмет: Математика,
автор: Яна200300