Предмет: Биология,
автор: 1171339989
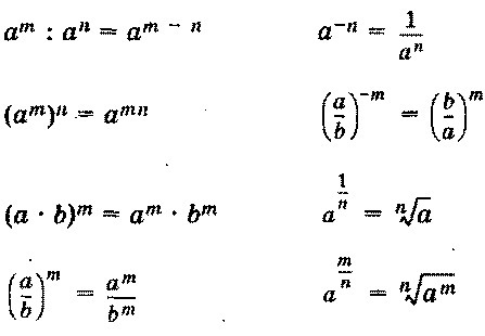
свойства степеней систем по алгебре
Ответы
Автор ответа:
1
Вот держи, помой у это так
Приложения:
Похожие вопросы
Предмет: Физкультура и спорт,
автор: gulmirasm2001
Предмет: Алгебра,
автор: xDashaKrestova
Предмет: Физкультура и спорт,
автор: HOBUUGOD2007
Предмет: История,
автор: максим718
Предмет: Математика,
автор: fisenko2010