Предмет: Химия, автор: glupiiananas

Решите пожалуйста задачи. Расписав решение.Срочно!
1) Во сколько раз больше атомов состоится в 12г углерода, чем в 12 г магния?
2)Какова масса оксида железа ||| полученного при сжигании 28 г железа?

Ответы

Автор ответа: MailaMiller
3

№1.

Дано:

m (C) = 12 г ;

m (Mg) = 12 г.


Найти:

N (C) — ?

N (Mg) — ?


Решение:

1. Найдём кол-во в-ва (моль) каждого элемента. По формуле: n = m : Ar; где: n - кол-во в-ва (моль), m - масса (г), Ar - атомная масса (значения берутся из таблицы Менделеева, г/моль).

n (C) = 12 г : 12 г/моль = 1 (моль).

m (Mg) = 12 г : 24 г/моль = 0,5 (моль).


2. Узнав кол-во в-ва каждого элемента, мы можем найти число атомов. По формуле: N = Nₐ · n; где: N - число атомов (атом), Nₐ - число Авогадро, постоянная величина, равная 6,02 · 10²³ (атомов/моль), n - кол-во в-ва (моль).

N (C) = 6,02 · 10²³ атомов/моль · 1 моль = 6,02 · 10²³ (атомов).

N (Mg) = 6,02 · 10²³ атомов/моль · 0,5 моль = 3,01  · 10²³ (атомов).


4. Из соотношения числа атомов мы видим, что в 12 г углерода атомов ровно в 2 раза больше, чем в 12 г магния.


Ответ: в 2 раза.


_ _ _ _ _ _ _ _ _ _ _ _ _ _ _ _ _ _ _ _ _ _ _ _ _ _ _ _ _ _


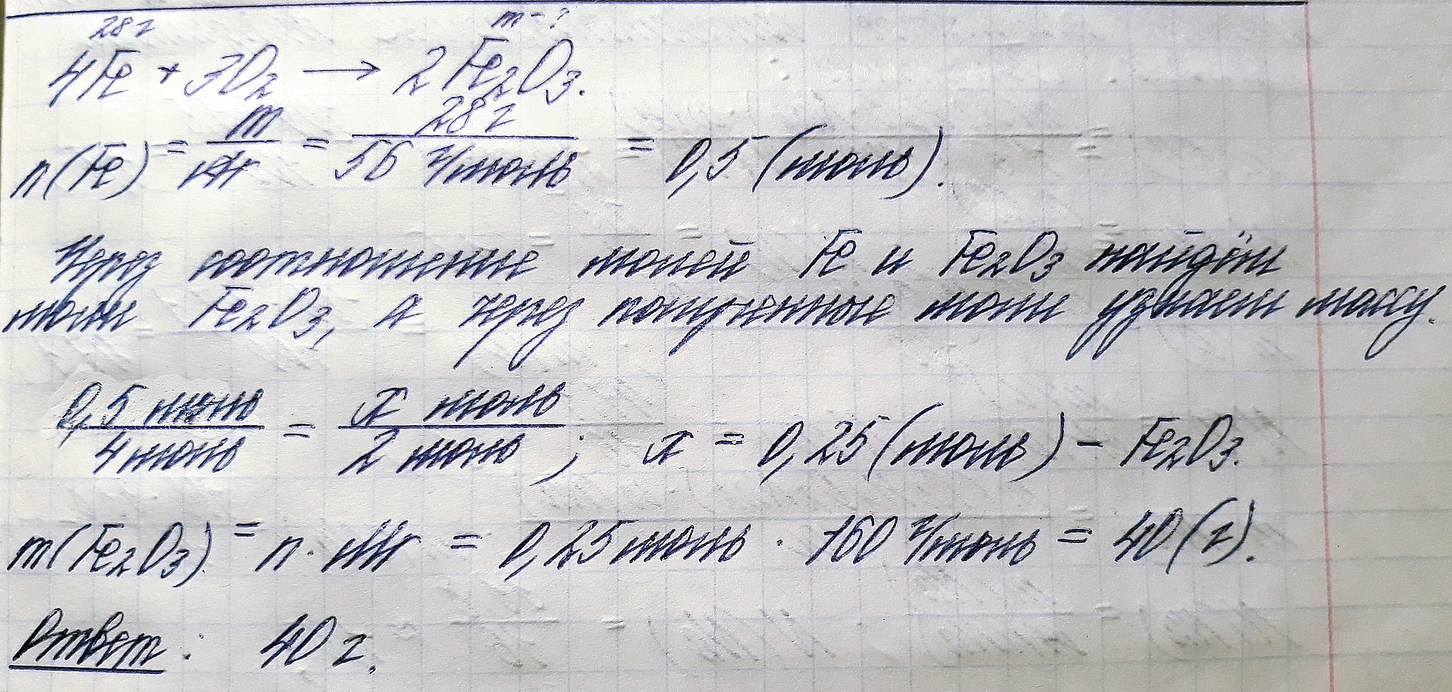
№2.

Дано:

m (Fe) = 28 г.


Найти:

m (Fe₂O₃) — ?


Решение:

↓ [РЕШЕНИЕ И ОТВЕТ ВО ВЛОЖЕНИИ] ↓

Приложения:
Похожие вопросы