Предмет: Математика,
автор: georgiykis
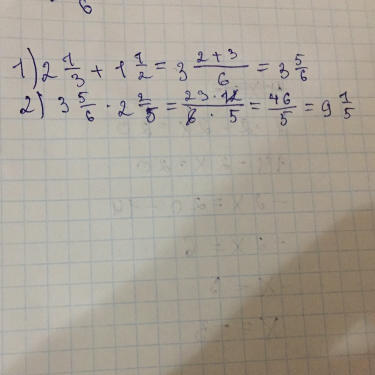
Решить пример (2,1/3+1,1/2)×2,2/5
Ответы
Автор ответа:
0
!!!!!!!!!!!!!!!!!!!!!!!!!!!!!!!"!""!!!!!!!!!!!!!!!
Приложения:
Автор ответа:
0
Пршкоколклклклкллкшттгррн
Приложения:
Похожие вопросы
Предмет: Алгебра,
автор: cody1rivera0
Предмет: Русский язык,
автор: jdkdururehkdi
Предмет: Русский язык,
автор: SetStalker
Предмет: Математика,
автор: палина4