Предмет: Алгебра,
автор: NikolayVnakov
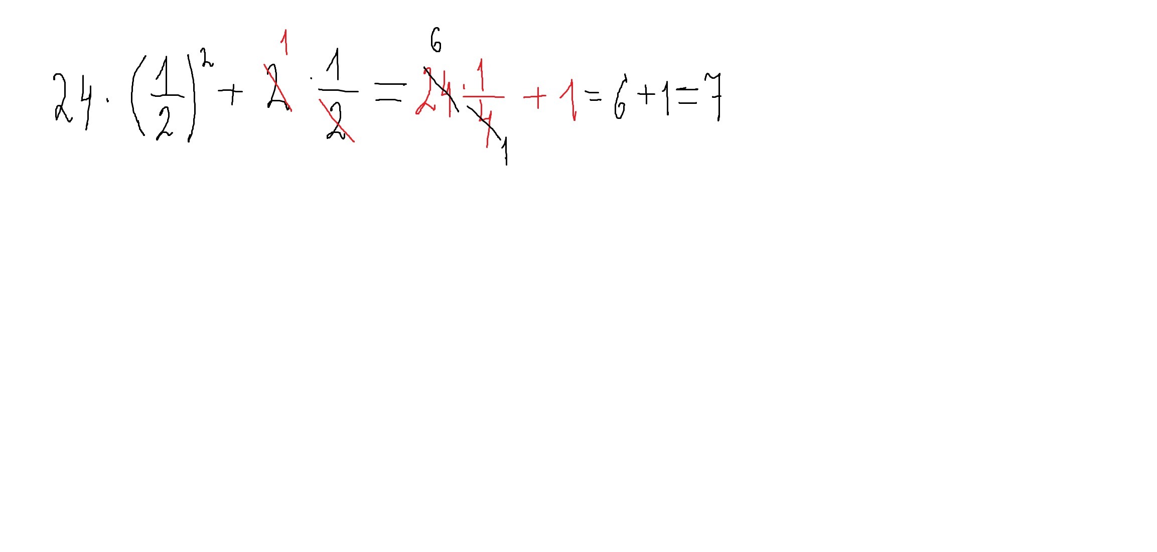
Как решить поманите пожалуйста
Приложения:
Ответы
Автор ответа:
1
решение смотри внизу
Приложения:
Похожие вопросы
Предмет: Математика,
автор: adikbig2009
Предмет: Математика,
автор: Аноним
Предмет: История,
автор: annaserg54
Предмет: Математика,
автор: marisha341